题目内容
如图所示,是某同学在探究小车做匀变速直线运动规律时用打点计时器打得纸带的一部分,纸带上标注了几个计数点O、A、B、C、D、E、F,并且相邻两个计数点之间还有4个点没有画出,纸带旁还给出了最小刻度为1mm的刻度尺,已知打点计时器所用交流电频率为50Hz,即打点周期为0.02s.(1)请根据图中信息,写出计数点 A对应刻度尺上的读数______ cm;
(2)由纸带可以计算出小车的加速度是______ m/s2(结果保留三位有效数字);
(3)对应于纸带上的A点,小车的瞬时速度vA=______ m/s(结果保留三位有效数字).
【答案】分析:(1)刻度尺的读数要估读到最小刻度下一位;
(2)利用逐差法△x=aT2,可以求出加速度;
(3)匀变速直线运动中某段时间内的平均速度等于中间时刻的瞬时速度,小车通过A点的速度大小.
解答:解:(1)按刻度尺的读数规则读数,要估读到最小刻度的下一位,因此 A对应刻度尺上的读数为:5.80cm.
故答案为:5.80.
(2)根据△x=aT2有:
x4-x1=3a1T2,
x5-x2=3a2T2,
x6-x3=3a3T2,
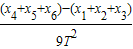
得到a=
=
=0.80m/s2,则小球运动的加速度大小2.00m/s2.
故答案为:2.00.
(3)匀变速直线运动中某段时间内的平均速度等于中间时刻的瞬时速度,因此有:

故答案为:0.581.
点评:此题重点考查了纸带的处理问题.知道匀变速直线运动中某段时间内的平均速度等于中间时刻的瞬时速度,以及在连续相等时间间隔内的位移差是一恒量,即△x=aT2.
(2)利用逐差法△x=aT2,可以求出加速度;
(3)匀变速直线运动中某段时间内的平均速度等于中间时刻的瞬时速度,小车通过A点的速度大小.
解答:解:(1)按刻度尺的读数规则读数,要估读到最小刻度的下一位,因此 A对应刻度尺上的读数为:5.80cm.
故答案为:5.80.
(2)根据△x=aT2有:
x4-x1=3a1T2,
x5-x2=3a2T2,
x6-x3=3a3T2,
得到a=
故答案为:2.00.
(3)匀变速直线运动中某段时间内的平均速度等于中间时刻的瞬时速度,因此有:
故答案为:0.581.
点评:此题重点考查了纸带的处理问题.知道匀变速直线运动中某段时间内的平均速度等于中间时刻的瞬时速度,以及在连续相等时间间隔内的位移差是一恒量,即△x=aT2.
练习册系列答案
相关题目