ÌâÄ¿ÄÚÈÝ
ÈçͼËùʾ£¬Ò»¾¢¶ÈϵÊýΪkµÄÇᵯ»É×ó¶Ë¹Ì¶¨ÔÚ³¤ÇÒ±¡µÄľ°åAµÄ×ó²à£¬Çᵯ»ÉÓÒ¶ËÓëСÎï¿éBÁ¬½Ó£¬ÒÑ֪ľ°åAµÄÖÊÁ¿ÎªmA£¬Ð¡Îï¿éBµÄÖÊÁ¿ÎªmB£®ÇÒA¡¢BÖ®¼ä¡¢ÒÔ¼°AÓëˮƽµØÃæ¼ä¾ù¹â»¬£®¿ªÊ¼Ê±£¬AºÍB¾ù¾²Ö¹£¬ÏÖͬʱ¶ÔA¡¢BÊ©¼ÓµÈ´ó·´ÏòµÄˮƽºãÁ¦F1ºÍF2£¬¼´F1=F2=F£®ÉèÕû¸ö¹ý³ÌÖе¯»ÉµÄÐα䲻³¬¹ýÆäµ¯ÐÔÏÞ¶È£¬BʼÖÕ们ÀëA£®Ç󣺣¨1£©ÒÔµØÃæ×÷Ϊ²ÎÕÕϵ£¬Çóµ±Ä¾°åAµÄÎ»ÒÆÎªlAʱ£¬Îï¿éBµÄÎ»ÒÆlBµÄ´óС£»
£¨2£©µ±µ¯»ÉµÄÉ쳤Á¿×î´óʱ£¬Ä¾°åAµÄÎ»ÒÆlA'ÊǶà´ó£¿²¢ÇóÕâʱÓÉA¡¢B¼°µ¯»É×é³ÉµÄϵͳËù¾ßÓеĻúеÄÜE£®
¡¾´ð°¸¡¿·ÖÎö£º£¨1£©A¡¢B×é³ÉµÄϵͳËùÊܵÄÍâÁ¦Ö®ºÍΪÁ㣬¶¯Á¿Êغ㣬¸ù¾Ý¶¯Á¿Êغ㶨ÂÉÇó³öľ°åAµÄÎ»ÒÆÎªlAʱ£¬Îï¿éBµÄÎ»ÒÆlBµÄ´óС£®
£¨2£©A¡¢B×öͬƵÂʵļòгÔ˶¯£¬µ±µ¯»ÉµÄÉ쳤Á¿×î´óʱ£¬´Ëʱ×î´óÉ쳤Á¿ÎªÆ½ºâλÖÃʱµÄ2±¶£¬½áºÏ¶¯Á¿Êغ㶨Âɺͺú¿Ë¶¨ÂÉÇó³öµ¯»ÉµÄÉ쳤Á¿×î´óʱ£¬Ä¾°åAµÄÎ»ÒÆ£®Í¨¹ýÄÜÁ¿Êغ㣬Çó³öϵͳ¾ßÓеĻúеÄÜ£®
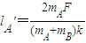
½â´ð£º½â£º£¨1£©Óɶ¯Á¿ÊغãµÃ£¬
ÔòÎï¿éBµÄÎ»ÒÆ ´óС
£®
£¨2£©A¡¢B×öͬƵÂʵļòгÔ˶¯£¬ÉèÔ˶¯µ½Æ½ºâλÖÃʱµ¯»ÉµÄÉ쳤Á¿Îªx£®
ÓУºF=kx
µ¯»ÉÉ쳤Á¿×î´óʱ£¬ÓУºlA¡ä+lB¡ä=2x
Óɶ¯Á¿Êغ㶨ÂÉ¿ÉÖª£¬mAlA¡ä-mBlB¡ä=0
ÁªÁ¢Çó½â£¬µÃµ¯»ÉµÄÉ쳤Á¿×î´óʱ£¬
£®
ÍâÁ¦FËù×öµÄ¹¦µÈÓÚϵͳ¾ßÓеĻúеÄÜ£¬ËùÒÔϵͳ¾ßÓеĻúеÄÜE=
£®
´ð£º£¨1£©µ±Ä¾°åAµÄÎ»ÒÆÎªlAʱ£¬Îï¿éBµÄÎ»ÒÆlBµÄ´óС
£®
£¨2£©µ±µ¯»ÉµÄÉ쳤Á¿×î´óʱ£¬Ä¾°åAµÄÎ»ÒÆ
£¬ÕâʱÓÉA¡¢B¼°µ¯»É×é³ÉµÄϵͳËù¾ßÓеĻúеÄÜE=
£®
µãÆÀ£º±¾Ì⿼²éÁ˶¯Á¿Êغ㶨ÂɺÍÄÜÁ¿Êغ㶨ÂÉ£¬×ÛºÏÐÔ½ÏÇ¿£¬¶ÔѧÉúÄÜÁ¦µÄÒªÇó½Ï¸ß£¬Ðè¼ÓǿѵÁ·£®
£¨2£©A¡¢B×öͬƵÂʵļòгÔ˶¯£¬µ±µ¯»ÉµÄÉ쳤Á¿×î´óʱ£¬´Ëʱ×î´óÉ쳤Á¿ÎªÆ½ºâλÖÃʱµÄ2±¶£¬½áºÏ¶¯Á¿Êغ㶨Âɺͺú¿Ë¶¨ÂÉÇó³öµ¯»ÉµÄÉ쳤Á¿×î´óʱ£¬Ä¾°åAµÄÎ»ÒÆ£®Í¨¹ýÄÜÁ¿Êغ㣬Çó³öϵͳ¾ßÓеĻúеÄÜ£®
½â´ð£º½â£º£¨1£©Óɶ¯Á¿ÊغãµÃ£¬
ÔòÎï¿éBµÄÎ»ÒÆ ´óС
£¨2£©A¡¢B×öͬƵÂʵļòгÔ˶¯£¬ÉèÔ˶¯µ½Æ½ºâλÖÃʱµ¯»ÉµÄÉ쳤Á¿Îªx£®
ÓУºF=kx
µ¯»ÉÉ쳤Á¿×î´óʱ£¬ÓУºlA¡ä+lB¡ä=2x
Óɶ¯Á¿Êغ㶨ÂÉ¿ÉÖª£¬mAlA¡ä-mBlB¡ä=0
ÁªÁ¢Çó½â£¬µÃµ¯»ÉµÄÉ쳤Á¿×î´óʱ£¬
ÍâÁ¦FËù×öµÄ¹¦µÈÓÚϵͳ¾ßÓеĻúеÄÜ£¬ËùÒÔϵͳ¾ßÓеĻúеÄÜE=
´ð£º£¨1£©µ±Ä¾°åAµÄÎ»ÒÆÎªlAʱ£¬Îï¿éBµÄÎ»ÒÆlBµÄ´óС
£¨2£©µ±µ¯»ÉµÄÉ쳤Á¿×î´óʱ£¬Ä¾°åAµÄÎ»ÒÆ
µãÆÀ£º±¾Ì⿼²éÁ˶¯Á¿Êغ㶨ÂɺÍÄÜÁ¿Êغ㶨ÂÉ£¬×ÛºÏÐÔ½ÏÇ¿£¬¶ÔѧÉúÄÜÁ¦µÄÒªÇó½Ï¸ß£¬Ðè¼ÓǿѵÁ·£®
Á·Ï°²áϵÁдð°¸
Ïà¹ØÌâÄ¿
| A¡¢kx | B¡¢mg+kx | C¡¢mg-kx | D¡¢ÒÔÉÏ˵·¨¶¼²»ÕýÈ· |