题目内容

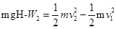
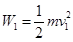
跳水运动员从高H的跳台以速度v1水平跳出,落水时速度为v2 ,运动员质量为m,若起跳时,运动员所做的功为W1 , 在空气中克服阻力所做的功为W2 ,则

A.                     B.

C.       D.

 

【答案】

AC

【解析】

试题分析:起跳过程由动能定理可知,A正确,B错误;起跳后至落水前由动能定理可知,整理可得,C正确,D错误。

考点:本题考查了多过程应用动能定理问题。

 

练习册系列答案
相关题目

违法和不良信息举报电话:027-86699610 举报邮箱:58377363@163.com

精英家教网