题目内容
一个物体从某一高处以初速度v水平抛出,它落地时的速度为大小为v,方向和水平地面成θ角,那么sinθ= ;它运动的时间为 .
【答案】分析:将物体落地时的速度进行分解,由几何知识求出sinθ,并求出竖直方向的分速度vy,再根据竖直方向是自由落体运动,求解运动时间.
解答:解:将物体落地的速度进行分解,如图,则有
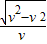
sinθ=
=
vy=
又由小球竖直方向做自由落体运动,vy=gt
得到t=
=
故答案为:
;
点评:本题是平抛运动问题,通过分解速度求出竖直方向的分速度,再求解运动时间,是常用的方法.
解答:解:将物体落地的速度进行分解,如图,则有
sinθ=
vy=
又由小球竖直方向做自由落体运动,vy=gt
得到t=
故答案为:
点评:本题是平抛运动问题,通过分解速度求出竖直方向的分速度,再求解运动时间,是常用的方法.
练习册系列答案
相关题目