题目内容
在“探究加速度与力、质量的关系”的实验中(1)下述操作步骤的安排顺序不尽合理,请将合理的顺序以字母代号填写在横线上A.保持小桶里沙子的质量不变,在小车里加砝码,测出加速度,重复几次
B.保持小车质量不变,改变小桶和沙子的质量,测出加速度,重复几次
C.用天平测出小车和小桶及沙子的质量
D.平衡摩擦力,使小车近似做匀速直线运动
E.挂上沙桶,接通打点计时器的电源,放开小车,在纸带上打下一系列的点
F.根据测量的数据,分别画出a-F和a-1/m的图线
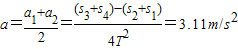
(2)本试验纸带的记录如图所示,从A点起每5个点取一个计数点,即两相邻计数点间的时间间隔为0.1s,则物体运动的加速度为 m/s2(保留3位有效数字)
【答案】分析:(1)明确实验原理,了解实验的具体操作,对于实验步骤要先安装器材,再进行实验的逻辑顺序进行;
(2)物体做匀加速直线,由逐差法△x=aT2可以求出物体运动的加速度大小.
解答:解:(1)对于实验步骤要先安装器材,再进行实验的逻辑顺序进行,不能颠倒逻辑顺序,要有利于减小实验误差,故其顺序为:C、D、E、A、B、F或C、D、E、B、A、F.
故答案为:C、D、E、A、B、F或C、D、E、B、A、F.
(2)物体做匀加速直线,由逐差法△x=aT2得:



故答案为:3.11.
点评:解决实验问题首先要掌握该实验原理,了解实验的操作步骤和数据处理以及注意事项,熟练应用匀变速直线运动的规律及其推论解决问题.
(2)物体做匀加速直线,由逐差法△x=aT2可以求出物体运动的加速度大小.
解答:解:(1)对于实验步骤要先安装器材,再进行实验的逻辑顺序进行,不能颠倒逻辑顺序,要有利于减小实验误差,故其顺序为:C、D、E、A、B、F或C、D、E、B、A、F.
故答案为:C、D、E、A、B、F或C、D、E、B、A、F.
(2)物体做匀加速直线,由逐差法△x=aT2得:
故答案为:3.11.
点评:解决实验问题首先要掌握该实验原理,了解实验的操作步骤和数据处理以及注意事项,熟练应用匀变速直线运动的规律及其推论解决问题.
练习册系列答案
相关题目