题目内容

静止在水平地面上的物体质量为2kg,在水平恒力F推动下开始运动,4s末它的速度达到4m/s,此时将力F撤去,又经6s物体停了下来,若物体与地面间的动摩擦因数不变,求力F大小.

答案:略
解析:

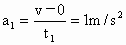
4s内的加速度.设摩擦力为f,则由牛顿第二定律可得,后6s内的加速度由牛顿第二定律可得,所以

正确的求解各个时间段内的加速度是解决这类问题的关键.


练习册系列答案
相关题目

违法和不良信息举报电话:027-86699610 举报邮箱:58377363@163.com

精英家教网