题目内容
已知圆M:(x+(I)求点G的轨迹C的方程;
(II)点F(x,y)在轨迹C上,求2x2+y的最大值与最小值.
【答案】分析:(I)由
=2
,
•
=0,知Q为PN的中点且GQ⊥PN,∴GQ为PN的中垂线,∴|PG|=|GN|,∴|GN|+|GM|=|MP|=6,故G点的轨迹是以M、N为焦点的椭圆,从而可求方程;(Ⅱ)易知-2≤y≤2,从而转化为二次函数求最值.
解答:解:(Ⅰ)由
=2
,
•
=0,知Q为PN的中点且GQ⊥PN,∴GQ为PN的中垂线,∴|PG|=|GN|
∴|GN|+|GM|=|MP|=6,故G点的轨迹是以M、N为焦点的椭圆,其长半轴长a=3,半焦距
,∴短半轴长b=2,
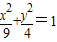
∴点G的轨迹方程是
(Ⅱ)易知-2≤y≤2,当
时,2x2+y有最大值18
,当y=-2时,2x2+y有最小值为-2
点评:本题主要考查椭圆的定义,解题的关键是将问题等价转化为符合椭圆的定义,(Ⅱ)的关键是从转化为二次函数求最值.
解答:解:(Ⅰ)由
∴|GN|+|GM|=|MP|=6,故G点的轨迹是以M、N为焦点的椭圆,其长半轴长a=3,半焦距
∴点G的轨迹方程是
(Ⅱ)易知-2≤y≤2,当
点评:本题主要考查椭圆的定义,解题的关键是将问题等价转化为符合椭圆的定义,(Ⅱ)的关键是从转化为二次函数求最值.
练习册系列答案
相关题目