搜索
题目内容
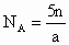
a g
中含n个氢原子,则阿伏加德罗常数可表示为
[ ]
A.
B.
C.
D.
试题答案
相关练习册答案
答案:C
解析:
,
练习册系列答案
巧学蛙课堂全解系列答案
导学与评估测评卷系列答案
初中总复习同步指导训练与检测系列答案
快乐口算系列答案
决胜百分百系列答案
小升初真题精选系列答案
基础天天练系列答案
夺冠训练归类模拟总复习系列答案
天府优学系列答案
小升初模拟冲刺卷系列答案
相关题目
请完成下列填空:
(1)在标准状况下,1g 氢气中含有n个氢原子,则阿伏伽德罗常数用n表示为
n
n
mol
-1
.
(2)当SO
2
和SO
3
中分子个数比为1:1 时,原子总数之比为
3:4
3:4
,分子质量之比为
4:5
4:5
.
(3)将5mol/L的Mg(NO
3
)
2
溶液a mL稀释至b mL,稀释后溶液中NO
3
-
的物质的量浓度是
10a
b
mol/L
10a
b
mol/L
.
(4)中和含0.2molHCl的稀盐酸,需NaOH的物质的量为
0.2mol
0.2mol
;如改用KOH,则所需KOH的质量为
11.2g
11.2g
.
(5)现有10克由
2
H和
16
O组成的水分子,其中含质子数为
5
5
mol,中子数为
5
5
mol,电子数为
5
5
mol.
如果测得a g水中含有n个氢原子,则阿伏加德罗常数的数值为
[ ]
A.
9n/a
B.
/9n
C.
a/18n
D.
18n/a
a g
中含n个氢原子,则阿伏加德罗常数可表示为
[ ]
A.
B.
C.
D.
如果测得a g水中含有n个氢原子,则阿伏加德罗常数的数值为
A.
9n/a
B.
/9n
C.
a/18n
D.
18n/a
关 闭
试题分类
高中
数学
英语
物理
化学
生物
地理
初中
数学
英语
物理
化学
生物
地理
小学
数学
英语
其他
阅读理解答案
已回答习题
未回答习题
题目汇总
试卷汇总
练习册解析答案