题目内容
用“伏安法”测电阻,小华实验时的电路如图14甲所示。
(1)请用笔画线代替导线,将实物电路连接完整.
(2)正确连接电路后。闭合开关前滑片p应置于滑动变阻器的 端(选填“左”或“右”).
(3)测量时,当电压表的示数为2.4V时,电流表的示数如图14乙所示,根据实验数据可得Rx Ω.
![]()
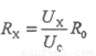
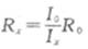
(4)如果身边只有一只电流表或电压表,利用一已知阻值为R0的定值电阻、开关、导线、电源等器材也可以测出未知电阻Rx.请设计测量Rx阻值的其他方法(只要求画出实验电路图并写出Rx的结果表达式)。
【答案】
(1)
(2)左 (3)4.8
(4)
或
![]()
(其它答案只要正确也可以)
【解析】正确连接电路后。闭合开关前滑片p应置于滑动变阻器的左端。测量时,当电压表的示数为2.4V时,电流表的示数如图14乙所示,根据实验数据可得Rx=4.8Ω.
练习册系列答案
相关题目
小涛用伏安法测量某电阻R的阻值时,已连接如图甲所示电路:

(1)同实验小组另一位同学又补了一根导线,使电路完整.请你在图中画出这根导线.

(2)实验中滑动变阻器的作用是 .
(3)小涛正确操作测得数据如上表,电流表第3次示数如图乙所示,请你帮小涛填入表格的空格中.
(4)最终测得的电阻阻值为 Ω(计算结果保留一位小数).
(5)同样是测量R的阻值,另一个实验小组的小华只选用了电阻箱、电流表及电源各一个、开关和导线若干也能完成该实验:
①在右边空白处,画出小华的实验电路图.

②说出实验的主要步骤: ③小华测电阻的方法是等效替代法,再举出运用此法的一个实例 .
(1)同实验小组另一位同学又补了一根导线,使电路完整.请你在图中画出这根导线.
(2)实验中滑动变阻器的作用是
(3)小涛正确操作测得数据如上表,电流表第3次示数如图乙所示,请你帮小涛填入表格的空格中.
(4)最终测得的电阻阻值为
| 试验次数 | 1 | 2 | 3 |
| 电压U/V | 1.5 | 2.0 | 2.5 |
| 电流I/A | 0.34 | 0.42 |
①在右边空白处,画出小华的实验电路图.
②说出实验的主要步骤: