题目内容
一个电热器接在220V的照明电路中,工作1min,电流做功3000J.若将它接到11O V的电路中(设电热器电阻不变),工作4min,则有 J的电能转化为内能.
【答案】分析:已知接入220V时电流做的功即可由公式W=
求出电热器的电阻.然后再由此公式即可求出4min内产生的内能.
解答:解:由公式W=
得:
----(1)
接入110V的电路后转化为内能的电能为:
---(2),
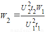
将(1)式代入(2)式得:
代入数据得:W2=3000J
故答案为:3000.
点评:在最后计算时,请大家仔细观察,还有必要按步就班的算吗?是不是可以将电压平方之比求出,时间之比求出,结果是不是出来了呢?还有必要换算时间单位吗?希望大家记住这种做物理题的方法:将公式列出,最后再代数计算.
解答:解:由公式W=
接入110V的电路后转化为内能的电能为:
将(1)式代入(2)式得:
故答案为:3000.
点评:在最后计算时,请大家仔细观察,还有必要按步就班的算吗?是不是可以将电压平方之比求出,时间之比求出,结果是不是出来了呢?还有必要换算时间单位吗?希望大家记住这种做物理题的方法:将公式列出,最后再代数计算.
练习册系列答案
相关题目