题目内容
先化简,再求值:
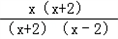
(1)
,其中x=﹣4.
(2)已知5x﹣8y=4,求代数式[(x﹣2y)2﹣(x2﹣y2)﹣y(x﹣3y)]÷2y的值.
(1)
(2)已知5x﹣8y=4,求代数式[(x﹣2y)2﹣(x2﹣y2)﹣y(x﹣3y)]÷2y的值.
解:(1)(
﹣
)÷
=[
﹣
]
=

=
,
当x=﹣4时,原式=
=﹣
;
(2)[(x﹣2y)2﹣(x2﹣y2)﹣y(x﹣3y)]÷2y
=(x2﹣4xy+4y2﹣x2+y2﹣xy+3y2)÷2y
=(8y2﹣5xy)÷2y
=4y﹣
x,
∵5x﹣8y=4,
∴
x﹣4y=2,
即4y﹣
x=﹣2,
=[
=
=
当x=﹣4时,原式=
(2)[(x﹣2y)2﹣(x2﹣y2)﹣y(x﹣3y)]÷2y
=(x2﹣4xy+4y2﹣x2+y2﹣xy+3y2)÷2y
=(8y2﹣5xy)÷2y
=4y﹣
∵5x﹣8y=4,
∴
即4y﹣
练习册系列答案
相关题目