题目内容
小明的家在某公寓楼AD内,他家的前面新建了一座大厦BC,小明想知道大厦的高度,但由于施工原因,无法测出公寓底部A与大厦底部C的直线距离,于是小明在他家的楼底A处测得大厦顶部B的仰角为60°,爬上楼顶D处测得大厦的顶部B的仰角为30°,已知公寓楼AD的高为60米,请你帮助小明计算出大厦的高度BC。
![]()
解:做DE⊥BC于E,则AD=EC=60,DE=AC,
设BE=x,
则在Rt△EBD中,tan30°=
,
∴DE=AC=x,
在Rt△ABC中,
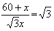
BC=EC+BE=60+x,∠BAC=60°,tan60°=
,
∴
,
∴x=30,
∴BC=60+30=90(米)。
设BE=x,
则在Rt△EBD中,tan30°=
∴DE=AC=x,
在Rt△ABC中,
BC=EC+BE=60+x,∠BAC=60°,tan60°=
∴
∴x=30,
∴BC=60+30=90(米)。
练习册系列答案
相关题目