题目内容
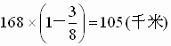
宁波到杭州的铁路全长
168千米,一列客车和一列货车同时从两地出发,相向而行,经过1.5小时两车相遇,已知货车行的路程是全程的
答案:70千米
解析:
解析:
|
105÷1.5=70( 千米)(客车每小时行的千米数) |
练习册系列答案
相关题目
题目内容
宁波到杭州的铁路全长
168千米,一列客车和一列货车同时从两地出发,相向而行,经过1.5小时两车相遇,已知货车行的路程是全程的|
105÷1.5=70( 千米)(客车每小时行的千米数) |