搜索
题目内容
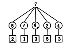
分一分,从左到右填一填.
试题答案
相关练习册答案
答案:2,6,4,5,3
解析:
练习册系列答案
文言文图解注释系列答案
小状元金考卷全能提优系列答案
小学毕业班升学总复习系列答案
天利38套小学总复习专项测练系列答案
金太阳教育金太阳考案系列答案
追击小考小学毕业升学总复习系列答案
一线名师云南密卷系列答案
化学教与学系列答案
四川新教材新中考系列答案
系统分类总复习系列答案
相关题目
分一分,算一算.
(
从左到右填
)
分一分,从左到右填一填.
分一分,算一算.
(
从左到右填
)
分一分,算一算.
(
从左到右填
)
关 闭
试题分类
高中
数学
英语
物理
化学
生物
地理
初中
数学
英语
物理
化学
生物
地理
小学
数学
英语
其他
阅读理解答案
已回答习题
未回答习题
题目汇总
试卷汇总
练习册解析答案