题目内容
按要求进行竖式计算.
37.1-4.58
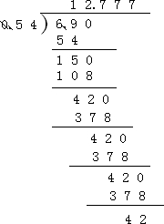
6.9÷0.54(保留两位小数)
2.7÷11(商用循环小数表示)
3.05×4.6(要求验算)
37.1-4.58
6.9÷0.54(保留两位小数)
2.7÷11(商用循环小数表示)
3.05×4.6(要求验算)
37.1-4.58=32.52

6.9÷0.54≈12.78

2.7÷11=0.2

3.05×4.6=14.03

验算:

6.9÷0.54≈12.78
2.7÷11=0.2
| ? |
| 4 |
| ? |
| 5 |
3.05×4.6=14.03
验算:
练习册系列答案
相关题目