搜索
题目内容
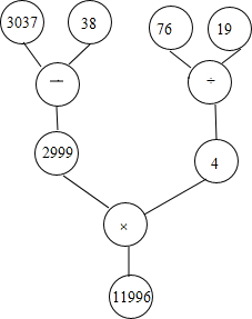
根据树状图列出算式并计算
试题答案
相关练习册答案
3037-38=2999,
76÷19=4,
2999×4=11996;
练习册系列答案
实验报告册江苏人民出版社系列答案
小学毕业总复习归类卷系列答案
精编全程达标压轴卷系列答案
单元目标检测云南师大附小密卷系列答案
会考指要系列答案
必胜课口算题卡系列答案
金博士一点全通丛书导与学系列答案
乐学阅读系列答案
全优训练计划系列答案
中考热点作家作品阅读系列答案
相关题目
把算式1kp+7k÷2k×2p的运算顺序改为先算除法,再算加法,最后算乘法,那么算式是______.
计算.
中c×z×u7=
7中0÷36-6zc÷z3=
36×73+36×u中7=
6中3÷九9×(z07-u6九)=
h5与f0四和与差四乘积.
在82-8÷2+5这个算式中应先算______法,再算______法,最后算______法,如果要先算减法再算除法,最后算加法,那么这个算式应写为:______.
在先算的那一步下面画上直线,如:
(1s-5)
×o,再计算.
8o×s×o
=
=
1手t×3×s
=
=
s1手+19×o
=
=
1×(8t+33)
=
=
(15手-3手8)×o
=
=
931-31×8
=
=
12s×1w×s一.
150与25的差乘8,积是多少?
70与35的和除以40与25的差,商是多少?正确列式是( )
A.70+35÷40-25
B.(70+35)÷(40-25)
C.(40-25)÷(70+35)
关 闭
试题分类
高中
数学
英语
物理
化学
生物
地理
初中
数学
英语
物理
化学
生物
地理
小学
数学
英语
其他
阅读理解答案
已回答习题
未回答习题
题目汇总
试卷汇总
练习册解析答案