题目内容
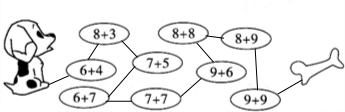
按照从小到大的顺序走,小狗才能吃到骨头.请画出小狗走的路线.

分析:运用整数加法的计算法则进行计算,根据计算结果按照从小到大的顺序连线即可.
解答:解:8+3=11 8+8=16 8+9=17
6+4=10 7+5=12 9+6=15
6+7=13 7+7=14 9+9=18

6+4=10 7+5=12 9+6=15
6+7=13 7+7=14 9+9=18
点评:此题主要考查的是整数加法的计算方法.
练习册系列答案
相关题目