题目内容
一个物体从45m高处自由下落,则:(1)到达地面的速度是多大?
(2)在下落的最后一秒内的位移是多少?(取g=10m/s2)
【答案】分析:(1)根据匀变速直线运动的速度-位移公式v2=2gh求出物体到达地面的速度.
(2)求出小球落地的时间,然后根据自由落体的位移-时间公式求出n-1s内的位移,从而得出最后1s内的位移.
解答:解:(1)由位移一速度关系 2gh=v2
可有
(m/s)
故物体到达地面的速度为30m/s.
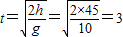
(2)物体下落的时间
s
前2S内下落的高度
=20(m)
最后一秒内的位移h2=h-h1=45-20=25(m)
故下落最后一秒内的位移为25m.
点评:解决本题的关键知道自由落体运动是初速度为零,加速度为g的匀加速直线运动,掌握匀变速直线运动的运动学公式.
(2)求出小球落地的时间,然后根据自由落体的位移-时间公式求出n-1s内的位移,从而得出最后1s内的位移.
解答:解:(1)由位移一速度关系 2gh=v2
可有
故物体到达地面的速度为30m/s.
(2)物体下落的时间
前2S内下落的高度
最后一秒内的位移h2=h-h1=45-20=25(m)
故下落最后一秒内的位移为25m.
点评:解决本题的关键知道自由落体运动是初速度为零,加速度为g的匀加速直线运动,掌握匀变速直线运动的运动学公式.
练习册系列答案
相关题目