题目内容

交流发电机在工作时感应电动势的瞬时表达式为

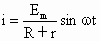
(1)若已知线圈内阻为r,把它与电阻为R的外电路相连,在转速改变前,其电流的瞬时值表达式为________.

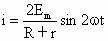
(2)在转速改变后,其电流的瞬时值表达式为__________.

(3)在转速改变后,其电阻R两端的电压的瞬时值表达式为___________.

答案:略
解析:

思路分析:若线圈与外电路连接够成闭合电路,则由闭合电路的欧姆定律得:(1)(2)

(3)

答案:  

规律技巧总结:(1)注意角速度的另一表达式:ω=2πnn为转速.(2)外电路闭合,可根据闭合电路欧姆定律灵活推导其他瞬时表达式.


练习册系列答案
相关题目

违法和不良信息举报电话:027-86699610 举报邮箱:58377363@163.com

精英家教网