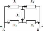
题目内容
| A、R2两端电压可能为2V | B、A、B两端电压可能为7V | C、若A、B两端电压为5V,可以判断出R4>R5 | D、若A、B两端电压为5V,可以判断出R4<R5 |
分析:题目中5个电阻并不是简单的串并联接法,抓住流入某点的电流等于流出某点的电流以及欧姆定律进行分析即可.
解答:解:A、设R=R1=R2=R3,已知R1两端电压为3V,R3两端电压为1V,根据欧姆定律,流过R1的电流为
=
,流过R3的电流为
=
;故流过电阻R2的电流可能为:
-
=
,也可能为:
+
=
;若流过R2的电流为
,则R2两端电压为2V;若流过R2的电流为
,则R2两端电压为4V;故A正确;
B、点A与点B间的电压等于电阻R1与R2电压之和;
R1两端电压为3V,若R2两端电压为2V,则A、B两端电压5V;
R1两端电压为3V,若R2两端电压为4V,则A、B两端电压7V;故B正确;
C、D、若A、B两端电压为5V,电流流向如图所示,说明电阻R3上端的电势较高,下端的电势较低,则R4两端的电压应该高于电阻R5两端的电压,故R4>R5(如果R4=R5,电阻R0中无电流),故C正确,D错误;
故选:ABC.
| 3 |
| R1 |
| 3 |
| R |
| 1 |
| R3 |
| 1 |
| R |
| 3 |
| R1 |
| 1 |
| R3 |
| 2 |
| R |
| 3 |
| R1 |
| 1 |
| R3 |
| 4 |
| R |
| 2 |
| R |
| 4 |
| R |
B、点A与点B间的电压等于电阻R1与R2电压之和;
R1两端电压为3V,若R2两端电压为2V,则A、B两端电压5V;
R1两端电压为3V,若R2两端电压为4V,则A、B两端电压7V;故B正确;
C、D、若A、B两端电压为5V,电流流向如图所示,说明电阻R3上端的电势较高,下端的电势较低,则R4两端的电压应该高于电阻R5两端的电压,故R4>R5(如果R4=R5,电阻R0中无电流),故C正确,D错误;
故选:ABC.
点评:本题关键是根据电势的高低来判断电流的方向,可以假定一些特殊值进行计算,不难.
练习册系列答案
相关题目