题目内容

如图,质量m=2 kg的物体静止于水平地面的A处,A、B间距L=20 m.用大小为30 N,沿水平方向的外力拉此物体,经t0=2 s拉至B处.(已知cos37°=0.8,sin37°=0.6.取g=10 m/s2)

(1)求物体与地面间的动摩擦因数μ;

(2)用大小为30 N,与水平方向成37°的力斜向上拉此物体,使物体从A处由静止开始运动并能到达B处,求该力作用的最短时间t.

答案:
解析:

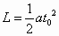
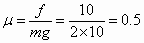
  (1)物体做匀加速运动(1分)

  ∴(1分)

  由牛顿第二定律

  (1分)

  (1分)

  ∴(1分)

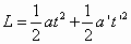
  (2)设作用的最短时间为,小车先以大小为的加速度匀加速秒,撤去外力后,

  以大小为,的加速度匀减速秒到达B处,速度恰为0,由牛顿定律

  (1分)

  ∴(1分)

  (1分)

  由于匀加速阶段的末速度即为匀减速阶段的初速度,因此有

  (1分)

  ∴(1分)

  (1分)

  ∴(1分)


练习册系列答案
相关题目

违法和不良信息举报电话:027-86699610 举报邮箱:58377363@163.com

精英家教网