题目内容
不久前欧洲天文学家在太阳系之外发现了一颗可能适合人类居住的行星,命名为“格利斯581c”.该行星的质量是地球的5倍,直径是地球的1.5倍.设想在该行星表面附近绕行星圆轨道运行的人造卫星的动能为Ek1,在地球表面附近绕地球沿圆轨道运行的相同质量的人造卫星的动能为Ek2,则Ek1/Ek2为( )A.0.13
B.0.3
C.3.33
D.7.5
【答案】分析:要求两颗卫星的动能之比,必须求出卫星圆周运动的线速度的大小;要求卫星的线速度的大小可根据万有引力提供向心力来进行计算.
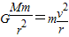
解答:解:在行星表面运行的卫星其做圆周运动的向心力由万有引力提供
故有
,
所以卫星的动能为
=
故在地球表面运行的卫星的动能EK2=
在“格利斯”行星表面表面运行的卫星的动能EK1=
所以有
=
=
=
=
=3.33
故C正确.
故选C.
点评:万有引力提供向心力是解决天体运动的基本思路和方法,在学习中要注意总结和积累.
解答:解:在行星表面运行的卫星其做圆周运动的向心力由万有引力提供
故有
所以卫星的动能为
故在地球表面运行的卫星的动能EK2=
在“格利斯”行星表面表面运行的卫星的动能EK1=
所以有
故C正确.
故选C.
点评:万有引力提供向心力是解决天体运动的基本思路和方法,在学习中要注意总结和积累.
练习册系列答案
相关题目