题目内容
在验证“机械能守恒定律”的实验中(1)为进行“验证机械能守恒定律”的实验,有下列器材可供选用:铁架台,电磁打点计时器,复写纸.纸带,秒表,低压直流电源,导线,开关,天平.其中不必要的器材有: ;缺少的器材是 .
(2)在验证机械能守恒定律时,如果以v2/2为纵轴,以h为横轴,根据实验数据绘出的图线应是一条通过原点的直线,才能验证机械能守恒定律,其斜率等于 的数值.
【答案】分析:(1)首先明确实验原理,确定实验需要测量的物理量,则可进一步知道实验所需要的器材.
(2)对于物理量线性关系图象的应用我们要从两方面:
①、利用原理找出两变量之间的关系式
②、从数学角度找出图象的截距和斜率,两方面结合解决问题.
解答:解:(1)在该实验中,要有做自由落体运动的物体重锤;通过打点计时器来记录物体运动时间,不需要秒表,打点计时器需要的是交流电源,因此低压直流电源不需要,缺少低压交流电源,由于验证机械能公式中可以把物体质量约掉,因此不需要天平,同时实验中缺少刻度尺.
故答案为:秒表、低压直流电源、天平;低压交流电源、刻度尺.
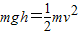
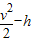
(2)利用
图线处理数据,从理论角度物体自由下落过程中机械能守恒可以得出:
即
所以斜率等于g,
故答案为:g.
点评:正确解答实验问题的前提是明确实验原理,从实验原理出发进行分析所需实验器材、所测数据等,会起到事半功倍的效果.
(2)对于物理量线性关系图象的应用我们要从两方面:
①、利用原理找出两变量之间的关系式
②、从数学角度找出图象的截距和斜率,两方面结合解决问题.
解答:解:(1)在该实验中,要有做自由落体运动的物体重锤;通过打点计时器来记录物体运动时间,不需要秒表,打点计时器需要的是交流电源,因此低压直流电源不需要,缺少低压交流电源,由于验证机械能公式中可以把物体质量约掉,因此不需要天平,同时实验中缺少刻度尺.
故答案为:秒表、低压直流电源、天平;低压交流电源、刻度尺.
(2)利用
所以斜率等于g,
故答案为:g.
点评:正确解答实验问题的前提是明确实验原理,从实验原理出发进行分析所需实验器材、所测数据等,会起到事半功倍的效果.
练习册系列答案
相关题目