题目内容
我国首个月球探测计划“嫦娥工程”将分三个阶段实施,大约用十年的时间完成,这极大地提高了同学们对月球的关注,以下是某位同学就有关月球的知识设计的两个问题,请你回答:(1)若已知地球的半径为R,地球表面的重力加速度为g,月球绕地球运行的周期为T,且把月球绕地球的运行近似看作是匀速圆周运动.试求出月球绕地球运行的轨道半径.
(2)若某位宇航员随登月飞船登陆月球后,在月球某水平表面上方h高处以速度v水平抛出一个小球,小球落回月球表面时与抛出点间的水平距离为s,已知月球的半径为R月,引力常量为G,试求月球的质量M月.
【答案】分析:(1)根据月球受到的引力等于向心力,在地球表面重力等于万有引力列式求解;
(2)先根据平抛运动的知识求出月球表面的重力加速度,再根据月球表面重力等于万有引力列式求解.
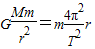
解答:解:(1)设地球的质量为M,月球的轨道半径为r,则:
…①
在地球表面有:
…②
由①②式得:
…③
故月球绕地球运行的轨道半径为
.
(2)设月球表面的重力加速度为g月,由平抛运动规律得:
…④
s=vt…⑤
由④⑤式得:
…⑥
在月球表面有:
…⑦
由⑥⑦式得:
…⑧
故月球的质量为
.
点评:关键是抓住星球表面处重力等于万有引力以及卫星所受的万有引力提供向心力.
(2)先根据平抛运动的知识求出月球表面的重力加速度,再根据月球表面重力等于万有引力列式求解.
解答:解:(1)设地球的质量为M,月球的轨道半径为r,则:
在地球表面有:
由①②式得:
故月球绕地球运行的轨道半径为
(2)设月球表面的重力加速度为g月,由平抛运动规律得:
s=vt…⑤
由④⑤式得:
在月球表面有:
由⑥⑦式得:
故月球的质量为
点评:关键是抓住星球表面处重力等于万有引力以及卫星所受的万有引力提供向心力.
练习册系列答案
相关题目