题目内容
如图所示,整个装置处于平衡状态,左右两段轻线与天花板所成的角度分别为45°和60°,中间一段轻线水平,则悬于轻线上两个物体的质量m1 m2(填大于、等于或小于);质量之比m1:m2= .
【答案】分析:分别对两节点受力分析,用两物体的重力表示出绳上的拉力F,一根绳上的拉力大小是相同的,利用这个关系比较两个物体的质量关系.
解答:解:分别对两节点受力分析如图:

由平衡条件得:F′=m1g;F″=m2g
图1:由三角函数关系得:tan45°=
,解得:T=m1g①
图2:由三角函数关系得:tan60°=
,解得:T=
②
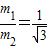
联立①②得:

故答案为:
点评:受力平衡类的问题受力分析后应用平衡条件求解即可,处理本题的突破口是同一根绳上的力大小相等.
解答:解:分别对两节点受力分析如图:
由平衡条件得:F′=m1g;F″=m2g
图1:由三角函数关系得:tan45°=
图2:由三角函数关系得:tan60°=
联立①②得:
故答案为:
点评:受力平衡类的问题受力分析后应用平衡条件求解即可,处理本题的突破口是同一根绳上的力大小相等.
练习册系列答案
相关题目