题目内容

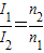
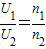
如图所示,一理想变压器原线圈的匝数n1=1100匝,副线圈的匝数n2=220匝,交流电源的电压,电阻R=44Ω,电压表、电流表均为理想电表,则下列说法中正确的是( )
A.交流电的频率为100Hz
B.电压表的示数为44V
C.电流表A2的示数约为1.4A
D.电流表A1的示数为0.2A
【答案】分析:电压表、电流表的示数表示电压电流的有效值,原副线圈的电压比等于匝数之比,电流比等于匝数之反比,原线圈的电压决定副线圈的电压,副线圈的电流决定原线圈的电流.
解答:解:A、交流电的周期T==,f=.故A错误.
    B、原线圈的电压,则U2=44V.故B正确.
    C、电流表A2的示数.故C错误.
    D、原副线圈的电流比等于匝数之反比,,则I1=0.2A.故D正确.
故选BD.
点评:解决本题的关键知道原副线圈的电压关系和电流关系,以及知道原副线圈的电压、电流和功率的决定关系.
练习册系列答案
相关题目

违法和不良信息举报电话:027-86699610 举报邮箱:58377363@163.com

精英家教网