题目内容
如图所示,在真空中的一直角坐标系xOy平面内,有一个质量为m、电量为+q的粒子(不计重力),从原点O沿y轴正方向以初速度v射入,为了使此粒子能够沿圆弧轨道通过定点P(a,-b),可以在坐标系xOy平面内的某点固定一带负电的点电荷,若静电力常数为k.求:该点电荷的电量Q.
【答案】分析:首先要画出带电粒子运动的轨迹,由几何关系找出个物理量之间的关系.
解答:
解:在图中O′处固定一个带负电的点电荷Q,使粒子在库仑力作用下绕O′做匀速圆周运动,其轨道半径为R.
由图知θ=2α,
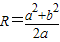
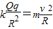
,



由牛顿第二定律得:
解以上各式得:
答:该点电荷的电量为:
点评:本题主要结合圆周运动考查带电粒子的运动,关键是能把运动的轨迹画出,利用好几何关系求解.
解答:
由图知θ=2α,
由牛顿第二定律得:
解以上各式得:
答:该点电荷的电量为:
点评:本题主要结合圆周运动考查带电粒子的运动,关键是能把运动的轨迹画出,利用好几何关系求解.
练习册系列答案
相关题目
| A、e点和g点的电场强度相同 | B、a点和f点的电势不相等 | C、电子从g点到f点再到e点过程中,电势能一直增加 | D、电子从f点到e点再到a点过程中,电场力先做功为零 |