题目内容
已知地球赤道上的物体随地球自转的线速度大小为v1,向心加速度大小为a1,近地卫星线速度大小为v2,向心加速度大小为a2,地球同步卫星线速度大小为v3,向心加速度大小为a3,设近地卫星距地面高度不计,同步卫星距地面高度约为地球半径的6倍.则以下结论正确的是( )A.
B.
C.
D.
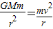
【答案】分析:同步卫星与随地球自转的物体具有相同的角速度,根据a=rω2去求向心加速度之比.近地卫星和同步卫星都是绕地球做匀速圆周运动,根据万有引力提供向心力
=ma去求线速度之比和加速度之比.
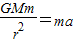
解答:解:A、近地卫星和同步卫星都是绕地球做匀速圆周运动,根据万有引力提供向心力
,
v=
两卫星的轨道半径比为1:7,所以
=
,故A错误.
B、地球赤道上的物体和同步卫星具有相同的周期和角速度,根据v=ωr,
地球的半径与同步卫星的轨道半径比为1:7,
所以
=
,故B正确.
C、同步卫星与随地球自转的物体具有相同的角速度,根据a=rω2得,地球的半径与同步卫星的轨道半径比为1:7,所以
=
故C正确.
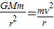
D、根据万有引力提供向心力得:
a=
,两卫星的轨道半径比为1:7,
=
,故D错误.
故选BC.
点评:解决本题的关键知道同步卫星与随地球自转的物体具有相同的角速度,以及知道近地卫星和同步卫星都是绕地球做匀速圆周运动,根据万有引力提供向心力可求出线速度之比和加速度之比.
解答:解:A、近地卫星和同步卫星都是绕地球做匀速圆周运动,根据万有引力提供向心力
v=
两卫星的轨道半径比为1:7,所以
B、地球赤道上的物体和同步卫星具有相同的周期和角速度,根据v=ωr,
地球的半径与同步卫星的轨道半径比为1:7,
所以
C、同步卫星与随地球自转的物体具有相同的角速度,根据a=rω2得,地球的半径与同步卫星的轨道半径比为1:7,所以
D、根据万有引力提供向心力得:
a=
故选BC.
点评:解决本题的关键知道同步卫星与随地球自转的物体具有相同的角速度,以及知道近地卫星和同步卫星都是绕地球做匀速圆周运动,根据万有引力提供向心力可求出线速度之比和加速度之比.
练习册系列答案
相关题目
已知地球赤道上的物体随地球自转的线速度大小为v1,向心加速度大小为a1,近地卫星速度大小为v2,向心加速度大小为a2,地球同步卫星线速度大小为v3,向心加速度大小为a3,设近地卫星距地面高度不计,同步卫星距地面高度约为地球半径的6倍,则以下结论正确的是( )
A、
| ||||
B、
| ||||
C、
| ||||
D、
|