ÌâÄ¿ÄÚÈÝ

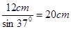
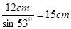
ÈçͼËùʾ£¬ÖÊÁ¿Îª20kgµÄ·½ÐÎÎïÌåÖÃÓÚË®Æ½ÃæÉÏ£¬ËüÓëË®Æ½ÃæÖ®¼äµÄ¶¯Ä¦²ÁÒòÊýΪ¦Ì£¬Á½µÈ³¤Çᵯ»ÉOA¡¢OBÒ»¶Ë·Ö±ðÁ¬½ÓÓÚÎïÌåÉÏÏà¾àΪ24cmµÄA¡¢BÁ½µã£¬ÁíÒ»¶Ë¹²Í¬Á¬½áÓÚOµã¡£µ±Á½Çᵯ»É¸ÕºÃ´¦ÓÚ×ÔÓÉ״̬ʱ£¬ËüÃǹ¹³ÉÁËÒ»¸ö1060µÄÕŽǡ£ÏÖÓÃÒ»´¹Ö±ÓÚABÁ¬ÏßµÄˮƽÁ¦FÏòÓÒÀ­Oµã£¬µ±°ÑÁ½µ¯»ÉÖ®¼äµÄÕŽÇÀ­³É740ʱ£¬ÎïÌåÇ¡ºÃÄÜÔÚË®Æ½ÃæÉÏÔÈËÙǰ½ø£¬´ËʱÁ½µ¯»É»¹µÈ³¤¡£Çó¶¯Ä¦²ÁÒòÊý¦ÌµÄ´óС¡£(ÒÑÖªµ¯»ÉµÄ¾¢¶ÈϵÊýΪk =1000N/m  sin370=0.6  g=10m/s2 )

 

¡¾´ð°¸¡¿

0.4

¡¾½âÎö¡¿

ÊÔÌâ·ÖÎö£ºµ¯»ÉÔ­³¤Îª£¬µ±ÔÈËÙÔ˶¯Ê±£¬µ¯»É³¤¶ÈΪ£¬µ¯»Éµ¯Á¦Îªkx=50N£¬ÒÔ½ÚµãOΪÑо¿¶ÔÏó£¬ÇóµÃÀ­Á¦F£¬ÓÐF=¦Ìmg£¬¿ÉÇóµÃ¶¯Ä¦²ÁÒòÊý´óС

¿¼µã£º¿¼²éÊÜÁ¦Æ½ºâµÄ·ÖÎö

µãÆÀ£º±¾ÌâÄѶȽÏС£¬¸ù¾Ýµ¯»É³¤¶È±ä»¯ÇóµÃÀ­Á¦F´óС£¬ÔÙÒÔÕûÌåΪÑо¿¶ÔÏó·ÖÎö

 

Á·Ï°²áϵÁдð°¸
Ïà¹ØÌâÄ¿

Î¥·¨ºÍ²»Á¼ÐÅÏ¢¾Ù±¨µç»°£º027-86699610 ¾Ù±¨ÓÊÏ䣺58377363@163.com

¾«Ó¢¼Ò½ÌÍø