ÌâÄ¿ÄÚÈÝ
£¨1£©Ð¡Îï¿éÓë¸ÃÖÖ²ÄÁϼäµÄ¶¯Ä¦²ÁÒòÊýΪ¶àÉÙ£¿
£¨2£©Ä³Í¬Ñ§ÈÏΪ£¬ÈôСÎï¿é³õËÙ¶ÈΪ4m/s£¬Ôò¸ù¾ÝͼÏóÖÐtÓëv³ÉÕý±ÈÍÆµ¼£¬¿É֪СÎï¿éÔ˶¯Ê±¼äΪ1.6s£®ÒÔÉÏ˵·¨ÊÇ·ñÕýÈ·£¿Èô²»ÕýÈ·£¬ËµÃ÷ÀíÓɲ¢½â³öÄãÈÏΪÕýÈ·µÄ½á¹û£®
¡¾´ð°¸¡¿·ÖÎö£º£¨1£©¸ù¾Ýt-vͼÏó£¬Çó³öСÎï¿éµÄ¼ÓËÙ¶È£¬Îï¿é×öÔȼõËÙÖ±ÏßÔ˶¯£¬¸ù¾ÝÅ£¶ÙµÚ¶þ¶¨ÂÉÓÐ ma=¦Ìmgcos¦È-mgsin¦È£¬Çó³ö¶¯Ä¦²ÁÒòÊý£®
£¨2£©³õËÙ¶ÈÔö´óºó£¬Îï¿é»á»¬¶¯Ë®Æ½ÃæÉÏ£¬Ë®Æ½ÃæÉÏÔ˶¯µÄ¼ÓËٶȺÍÐ±ÃæÉÏÔ˶¯µÄ¼ÓËٶȲ»Í¬£¬¹æÂɽ«²»ÔÙ·ûºÏͼÏóÖеÄÕý±È¹ØÏµ£®
ÏÈÌÖÂÛÊÇ·ñ»¹Í£ÔÚÐ±ÃæÉÏ£®Èô²»Í£ÔÚÐ±ÃæÉÏ£¬ÏÈÇó³ö»¬¶¯Ð±Ãæµ×¶ËµÄËٶȺÍʱ¼ä£¬ÔÙͨ¹ýË®Æ½ÃæÉϵļÓËÙ¶È£¬Çó³öÔÚË®Æ½ÃæÉÏÔ˶¯µÄʱ¼ä£¬´Ó¶øµÃ³öСÎï¿é´Ó¿ªÊ¼Ô˶¯µ½×îÖÕͣϵÄʱ¼ät£®
½â´ð£º½â£º£¨1£©a=
ma=¦Ìmgcos¦È-mgsin¦È
µÃ
¹ÊСÎï¿éÓë¸ÃÖÖ²ÄÁϼäµÄ¶¯Ä¦²ÁÒòÊýΪ
£®
£¨2£©²»ÕýÈ·£®ÒòÎªËæ×ųõËÙ¶ÈÔö´ó£¬Ð¡Îï¿é»á»¬µ½Ë®Æ½Ã棬¹æÂɽ«²»ÔÙ·ûºÏͼÏóÖеÄÕý±È¹ØÏµ£®
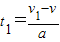
v=4m/sʱ£¬Èô±£³ÖÔȼõËÙÏ»¬£¬Ôò¾¹ý
£¬ÒÑ»¬µ½Ë®Æ½Ã森
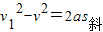
ÎïÌåÔÚÐ±ÃæÉÏÔ˶¯£¬Éè¸Õ½øÈëË®Æ½ÃæÊ±ËÙ¶Èv1£º
£¬
£¬µÃv1=2m/s£¬t1=0.8s
Ë®Æ½ÃæÉÏ
×Üʱ¼ät1+t2=1.03s
¹ÊСÎï¿é´Ó¿ªÊ¼Ô˶¯µ½×îÖÕͣϵÄʱ¼ätΪ1.03s£®
µãÆÀ£º½â¾ö±¾ÌâµÄ¹Ø¼üÖªµÀËÙ¶ÈÔö´óµ½Ò»¶¨³Ì¶Èºó£¬Îï¿é²»»áÍ£ÁôÔÚÐ±ÃæÉÏ£¬»áÍ£ÁôÔÚË®Æ½ÃæÉÏ£¬¸ù¾ÝÅ£¶ÙµÚ¶þ¶¨ÂÉ£¬·Ö±ðÇó³öÔÚÐ±ÃæÉϺÍË®Æ½ÃæÉÏÔ˶¯µÄ¼ÓËÙ¶È£¬´Ó¶øÇó³öÁ½¶Îʱ¼äÖ®ºÍ£®
£¨2£©³õËÙ¶ÈÔö´óºó£¬Îï¿é»á»¬¶¯Ë®Æ½ÃæÉÏ£¬Ë®Æ½ÃæÉÏÔ˶¯µÄ¼ÓËٶȺÍÐ±ÃæÉÏÔ˶¯µÄ¼ÓËٶȲ»Í¬£¬¹æÂɽ«²»ÔÙ·ûºÏͼÏóÖеÄÕý±È¹ØÏµ£®
ÏÈÌÖÂÛÊÇ·ñ»¹Í£ÔÚÐ±ÃæÉÏ£®Èô²»Í£ÔÚÐ±ÃæÉÏ£¬ÏÈÇó³ö»¬¶¯Ð±Ãæµ×¶ËµÄËٶȺÍʱ¼ä£¬ÔÙͨ¹ýË®Æ½ÃæÉϵļÓËÙ¶È£¬Çó³öÔÚË®Æ½ÃæÉÏÔ˶¯µÄʱ¼ä£¬´Ó¶øµÃ³öСÎï¿é´Ó¿ªÊ¼Ô˶¯µ½×îÖÕͣϵÄʱ¼ät£®
½â´ð£º½â£º£¨1£©a=
ma=¦Ìmgcos¦È-mgsin¦È
µÃ
¹ÊСÎï¿éÓë¸ÃÖÖ²ÄÁϼäµÄ¶¯Ä¦²ÁÒòÊýΪ
£¨2£©²»ÕýÈ·£®ÒòÎªËæ×ųõËÙ¶ÈÔö´ó£¬Ð¡Îï¿é»á»¬µ½Ë®Æ½Ã棬¹æÂɽ«²»ÔÙ·ûºÏͼÏóÖеÄÕý±È¹ØÏµ£®
v=4m/sʱ£¬Èô±£³ÖÔȼõËÙÏ»¬£¬Ôò¾¹ý
ÎïÌåÔÚÐ±ÃæÉÏÔ˶¯£¬Éè¸Õ½øÈëË®Æ½ÃæÊ±ËÙ¶Èv1£º
Ë®Æ½ÃæÉÏ
×Üʱ¼ät1+t2=1.03s
¹ÊСÎï¿é´Ó¿ªÊ¼Ô˶¯µ½×îÖÕͣϵÄʱ¼ätΪ1.03s£®
µãÆÀ£º½â¾ö±¾ÌâµÄ¹Ø¼üÖªµÀËÙ¶ÈÔö´óµ½Ò»¶¨³Ì¶Èºó£¬Îï¿é²»»áÍ£ÁôÔÚÐ±ÃæÉÏ£¬»áÍ£ÁôÔÚË®Æ½ÃæÉÏ£¬¸ù¾ÝÅ£¶ÙµÚ¶þ¶¨ÂÉ£¬·Ö±ðÇó³öÔÚÐ±ÃæÉϺÍË®Æ½ÃæÉÏÔ˶¯µÄ¼ÓËÙ¶È£¬´Ó¶øÇó³öÁ½¶Îʱ¼äÖ®ºÍ£®
Á·Ï°²áϵÁдð°¸
Ïà¹ØÌâÄ¿