题目内容
1986年升空的“和平号”空间站,在服役15年后,于2001年坠落在南太平洋.“和平号”空间站总质量137t,工作容积超过400m3.设“和平号”空间站正常运转时沿高度为350km圆形轨道运行,在坠落前,沿高度为240km的指定圆形低空轨道运行.在“和平号”沿指定的低空轨道运行时,其轨道高度平均每昼夜降低2.7km.由于沿指定的低空轨道运行时,每运行一周空间站高度变化很小,因此计算时每一周的运动都可以作为匀速圆周运动处理.(1)(1)简要说明为什么空间站在沿圆轨道正常运行过程中,其运动速率是不变的.
(2)空间站沿正常轨道运行时的加速度与沿指定的低空轨道运行时加速度大小的比值多大?计算结果保留2位有效数字.
(3)空间站沿指定的低空轨道运行时,每运行一周过程中空间站高度平均变化多大?计算中取地球半径R=6.4×103km,计算结果保留1位有效数字,不计地球自转的影响.
【答案】分析:(1)空间站沿圆轨道运行过程中,仅受万有引力作用,所受到的万有引力与空间站运行方向垂直,万有引力完全提供向心力,引力对空间站不做功,根据动能定理,空间站沿圆轨道运行过程中,其运动速率是不变的.
(2)不论空间站沿正常轨道运行,还是沿指定的低空轨道运行,万有引力是空间站运行时的向心力,根据万有引力定律和牛顿第二定律有
,得
.加速度与轨道半径的平方成反比,代入数据求比值.
(3)万有引力提供空间站运行时的向心力
,不计地球自转的影响,有
,则空间站在指定的低空轨道空间站运行的周期为
,代入数据可计算出T的值.每昼夜空间站在指定的低空轨道绕地球运行圈数为
,所以空间站沿指定的低空轨道运行时,每运行一周过程中空间站高度平均减小
,代入数据计算即可.
解答:解:(1)空间站沿圆轨道运行过程中,仅受万有引力作用,所受到的万有引力与空间站运行方向垂直,引力对空间站不做功,根据动能定理,空间站沿圆轨道运行过程中,其运动速率是不变的.
(2)不论空间站沿正常轨道运行,还是沿指定的低空轨道运行,万有引力是空间站运行时的向心力,根据万有引力定律和牛顿第二定律有

空间站运行时向心加速度是
空间站沿正常轨道运行时的加速度与在沿指定的低空轨道运行的半径分别为
r1=R+h1=6.75×103km,
r2=R+h2=6.64×103km,
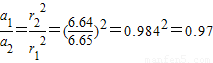
加速度大小的比值是
(3)万有引力提供空间站运行时的向心力,有
不计地球自转的影响,根据
,有GM=R2g
则空间站在指定的低空轨道空间站运行的周期为

=
一昼夜的时间为t=24h,则每昼夜空间站在指定的低空轨道绕地球运行圈数为

空间站沿指定的低空轨道运行时,每运行一周过程中空间站高度平均减小
≈2×10-1m.
答:(1)空间站沿圆轨道运行过程中,仅受万有引力作用,所受到的万有引力与空间站运行方向垂直,引力对空间站不做功,根据动能定理,空间站沿圆轨道运行过程中,其运动速率是不变的.
(2)空间站沿正常轨道运行时的加速度与沿指定的低空轨道运行时加速度大小的比值为0.97.
(3)空间站沿指定的低空轨道运行时,每运行一周过程中空间站高度平均变化约为2×10-1m.
点评:本题要求知道解决天体运动问题的一般方法:万有引力提供向心力;星球表面的重力等于万有引力.同时要注意第三问的结果要求保留1位有效数字,这是容易出错的地方,要小心.
(2)不论空间站沿正常轨道运行,还是沿指定的低空轨道运行,万有引力是空间站运行时的向心力,根据万有引力定律和牛顿第二定律有
(3)万有引力提供空间站运行时的向心力
解答:解:(1)空间站沿圆轨道运行过程中,仅受万有引力作用,所受到的万有引力与空间站运行方向垂直,引力对空间站不做功,根据动能定理,空间站沿圆轨道运行过程中,其运动速率是不变的.
(2)不论空间站沿正常轨道运行,还是沿指定的低空轨道运行,万有引力是空间站运行时的向心力,根据万有引力定律和牛顿第二定律有
空间站运行时向心加速度是
空间站沿正常轨道运行时的加速度与在沿指定的低空轨道运行的半径分别为
r1=R+h1=6.75×103km,
r2=R+h2=6.64×103km,
加速度大小的比值是
(3)万有引力提供空间站运行时的向心力,有
不计地球自转的影响,根据
则空间站在指定的低空轨道空间站运行的周期为
=
一昼夜的时间为t=24h,则每昼夜空间站在指定的低空轨道绕地球运行圈数为
空间站沿指定的低空轨道运行时,每运行一周过程中空间站高度平均减小
答:(1)空间站沿圆轨道运行过程中,仅受万有引力作用,所受到的万有引力与空间站运行方向垂直,引力对空间站不做功,根据动能定理,空间站沿圆轨道运行过程中,其运动速率是不变的.
(2)空间站沿正常轨道运行时的加速度与沿指定的低空轨道运行时加速度大小的比值为0.97.
(3)空间站沿指定的低空轨道运行时,每运行一周过程中空间站高度平均变化约为2×10-1m.
点评:本题要求知道解决天体运动问题的一般方法:万有引力提供向心力;星球表面的重力等于万有引力.同时要注意第三问的结果要求保留1位有效数字,这是容易出错的地方,要小心.
练习册系列答案
相关题目