题目内容
在“验证机械能守恒定律”的实验中:(1)实验中 (填需要或不需要)用天平测量重物的质量m.开始打点计时的时候,接通电源和松开纸带的顺序应该是,先 .
(2)供选择的重物有以下四个,应选择 .
A.质量为100g的木球 B.质量为10g的砝码
C.质量为200g的钩码 D.质量为10g的塑料球
(3)使用质量为m的重物和打点计时器验证机械能守恒定律的实验中,在选定的纸带上依次取计数点如图所示,纸带上所打的点记录了物体在不同时刻的位置,那么纸带的 端(填左或右)与重物相连.设相邻计数点的时间间隔为T,且O为打下的第一个点.当打点计时器打点“3”时,物体的动能表达式为 .
【答案】分析:了解实验的工作原理,清楚实验的所需仪器和步骤.
纸带法实验中,若纸带匀变速直线运动,测得纸带上的点间距,利用匀变速直线运动的推论,可计算出打出某点时纸带运动的瞬时速度和加速度,从而求出动能
解答:解:(1)因为我们是比较mgh、
mv2的大小关系,故m可约去比较,不需要用天平.
开始记录时,应先给打点计时器通电打点,然后再释放重锤,让它带着纸带一同落下,如果先放开纸带让重物下落,再接通打点计时时器的电源,由于重物运动较快,不利于数据的采集和处理,会对实验产生较大的误差.
(2)实验供选择的重物应该相对质量较大、体积较小的物体,这样能减少摩擦阻力的影响.故选C.
(3)从图上看出,打点计时器先打出O点,与重物相连的纸带一端在实验时是处于下端,也就是计时器先打点的位置,所以纸带的左端与重物相连.
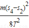
利用匀变速直线运动的推论

所以Ek3=
mv32=
故答案为:(1)不需要;接通电源;(2)C;(3)左;
点评:实验问题都是考查物理规律的应用.
纸带问题的处理是力学实验中常见的问题.我们可以纸带法实验中,若纸带匀变速直线运动,测得纸带上的点间距,利用匀变速直线运动的推论,可计算出打出某点时纸带运动的瞬时速度.
纸带法实验中,若纸带匀变速直线运动,测得纸带上的点间距,利用匀变速直线运动的推论,可计算出打出某点时纸带运动的瞬时速度和加速度,从而求出动能
解答:解:(1)因为我们是比较mgh、
开始记录时,应先给打点计时器通电打点,然后再释放重锤,让它带着纸带一同落下,如果先放开纸带让重物下落,再接通打点计时时器的电源,由于重物运动较快,不利于数据的采集和处理,会对实验产生较大的误差.
(2)实验供选择的重物应该相对质量较大、体积较小的物体,这样能减少摩擦阻力的影响.故选C.
(3)从图上看出,打点计时器先打出O点,与重物相连的纸带一端在实验时是处于下端,也就是计时器先打点的位置,所以纸带的左端与重物相连.
利用匀变速直线运动的推论
所以Ek3=
故答案为:(1)不需要;接通电源;(2)C;(3)左;
点评:实验问题都是考查物理规律的应用.
纸带问题的处理是力学实验中常见的问题.我们可以纸带法实验中,若纸带匀变速直线运动,测得纸带上的点间距,利用匀变速直线运动的推论,可计算出打出某点时纸带运动的瞬时速度.
练习册系列答案
相关题目