题目内容
某实验小组利用如图所示的实验装置来测定匀变速直线运动的加速度.已知两个光电门中心之间的距离s,测得遮光条的宽度d.该实验小组在做实验时,将滑块从图所示位置由静止释放,由数字计时器可以读出遮光条通过光电门1的时间△t1,遮光条通过光电门2的时间△t2,则滑块经过光电门1时的瞬时速度的表达式v1= ,滑块经过光电门2时的瞬时速度的表达式v2= ,则滑块的加速度的表达式a= .(以上表达式均用字母表示).
【答案】分析:由于遮光条通过光电门的时间极短,可以用平均速度表示瞬时速度.根据匀变速直线运动的速度位移公式求出滑块的加速度.
解答:解:由于遮光条通过光电门的时间极短,可以用平均速度表示瞬时速度.
滑块经过光电门1时的瞬时速度的表达式v1=
,
滑块经过光电门2时的瞬时速度的表达式v2=
.
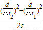
根据
-
=2as得,
a=
故答案为:
,
,
点评:解决该题关键掌握知道在极短时间内的平均速度可以表示瞬时速度和匀变速直线运动的速度位移公式应用.
解答:解:由于遮光条通过光电门的时间极短,可以用平均速度表示瞬时速度.
滑块经过光电门1时的瞬时速度的表达式v1=
滑块经过光电门2时的瞬时速度的表达式v2=
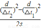
根据
a=
故答案为:
点评:解决该题关键掌握知道在极短时间内的平均速度可以表示瞬时速度和匀变速直线运动的速度位移公式应用.
练习册系列答案
相关题目
| A、保持物体的质量m不变,加速度a跟作用在物体上的合力F成正比 | B、保持物体的质量m不变,加速度a跟作用在物体上的合力F成反比 | C、保持物体受到的合力F不变,加速度a跟物体的质量m成正比 | D、保持物体受到的合力F不变,加速度a跟物体的质量m成反比 |