题目内容
物体以v的速度水平抛出,当竖直分位移与水平分位移大小相等时,以下说法正确的是( )A.瞬时速度的大小为
B.竖直分速度等于水平分速度
C.运动时间为
D.运动位移的大小为
【答案】分析:通过竖直分位移与水平分位移大小相等,求出时间,根据时间可求出竖直方向的分速度以及速度的大小和方向.
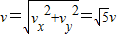
解答:解:A、平抛运动瞬时速度的大小为
.故A正确.
B、竖直分位移与水平分位移大小相等,有
,所以运动的时间为t=
,此时竖直方向上的分速度vy=gt=2v.故B错误,C正确.
D、此时水平方向上的位移的大小为x=vt=
,由于此时竖直分位移与水平分位移大小相等,所以此时物体运动的位移的大小为
=
x=
,所以D正确.
故选ACD.
点评:解决本题的关键掌握处理平抛运动的方法,平抛运动可分解为水平方向上的匀速直线运动和竖直方向上的自由落体运动.且分运动与合运动具有等时性.
解答:解:A、平抛运动瞬时速度的大小为
B、竖直分位移与水平分位移大小相等,有
D、此时水平方向上的位移的大小为x=vt=
故选ACD.
点评:解决本题的关键掌握处理平抛运动的方法,平抛运动可分解为水平方向上的匀速直线运动和竖直方向上的自由落体运动.且分运动与合运动具有等时性.
练习册系列答案
相关题目