ÌâÄ¿ÄÚÈÝ
A£®ÔÚt=2.5sʱ£¬Ð¡Çò¾¹ý±ß½çMN
B£®Ð¡ÇòÊܵ½µÄÖØÁ¦Óëµç³¡Á¦Ö®±ÈΪ3£º5
C£®ÔÚСÇòÏòÏÂÔ˶¯µÄÕû¸ö¹ý³ÌÖУ¬ÖØÁ¦×öµÄ¹¦Óëµç³¡Á¦×öµÄ¹¦´óСÏàµÈ
D£®ÔÚСÇòÔ˶¯µÄÕû¸ö¹ý³ÌÖУ¬Ð¡ÇòµÄ»úеÄÜÓëµçÊÆÄÜ×ܺÍÏȱä´óÔÙ±äС
¡¾´ð°¸¡¿·ÖÎö£ºÐ¡Çò½øÈëµç³¡Ç°×ö×ÔÓÉÂäÌåÔ˶¯£¬½øÈëµç³¡ºóÊܵ½µç³¡Á¦×÷Óöø×ö¼õËÙÔ˶¯£¬ÓÉͼ¿ÉÒÔ¿´³ö£¬Ð¡Çò¾¹ý±ß½çMNµÄʱ¿Ì£®·Ö±ðÇó³öСÇò½øÈëµç³¡Ç°¡¢ºó¼ÓËÙ¶È´óС£¬ÓÉÅ£¶ÙµÚ¶þ¶¨ÂÉÇó³öÖØÁ¦Óëµç³¡Á¦Ö®±È£®¸ù¾Ý¶¯Äܶ¨ÀíÑо¿Õû¸ö¹ý³ÌÖÐÖØÁ¦×öµÄ¹¦Óëµç³¡Á¦×öµÄ¹¦´óС¹ØÏµ£®Õû¸ö¹ý³ÌÖУ¬Ð¡ÇòµÄ»úеÄÜÓëµçÊÆÄÜ×ܺͲ»±ä£®
½â´ð£º½â£ºA¡¢Ð¡Çò½øÈëµç³¡Ç°×ö×ÔÓÉÂäÌåÔ˶¯£¬½øÈëµç³¡ºóÊܵ½µç³¡Á¦×÷Óöø×ö¼õËÙÔ˶¯£¬ÓÉͼ¿ÉÒÔ¿´³ö£¬Ð¡Çò¾¹ý±ß½çMNµÄʱ¿ÌÊÇt=1sʱ£®¹ÊA´íÎó£®
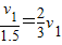
B¡¢ÓÉͼÏóµÄбÂʵÈÓÚ¼ÓËٶȵÃСÇò½øÈëµç³¡Ç°µÄ¼ÓËÙ¶ÈΪa1=
=v1¡¢½øÈëµç³¡ºóµÄ¼ÓËÙ¶È´óСΪa2=
£¬ÓÉÅ£¶ÙµÚ¶þ¶¨Âɵãº
mg=ma1=mv1¡¢Ù
F-mg=ma2
µÃµç³¡Á¦£ºF=mg+ma2=
¡¢Ú
ÓÉ¢Ù¢ÚµÃÖØÁ¦mgÓëµç³¡Á¦FÖ®±ÈΪ3£º5£®¹ÊBÕýÈ·£®
C¡¢Õû¸ö¹ý³ÌÖУ¬¶¯Äܱ仯Á¿ÎªÁ㣬¸ù¾Ý¶¯Äܶ¨Àí£¬Õû¸ö¹ý³ÌÖÐÖØÁ¦×öµÄ¹¦Óëµç³¡Á¦×öµÄ¹¦´óСÏàµÈ£®¹ÊCÕýÈ·£®
D¡¢Õû¸ö¹ý³ÌÖУ¬Ð¡Çò¾ßÓÐÁ½ÖÖÐÎʽµÄÄÜ£º»úеÄÜÓëµçÊÆÄÜ£¬¸ù¾ÝÄÜÁ¿Êغ㶨ÂɵÃÖª£¬ËüÃǵÄ×ܺͲ»±ä£®¹ÊD´íÎó£®
¹ÊÑ¡BC
µãÆÀ£º±¾ÌâÒ»ÒªÄÜÕýÈ··ÖÎöСÇòµÄÔ˶¯Çé¿ö£¬×¥×¡Ð±ÂʵÈÓÚ¼ÓËÙ¶ÈÊǹؼü£»¶þÒªÔËÓÃÅ£¶ÙµÚ¶þ¶¨ÂɺͶ¯Äܶ¨Àí·Ö±ðÑо¿Ð¡ÇòµÄÊÜÁ¦Çé¿öºÍÍâÁ¦×ö¹¦¹ØÏµ£®
½â´ð£º½â£ºA¡¢Ð¡Çò½øÈëµç³¡Ç°×ö×ÔÓÉÂäÌåÔ˶¯£¬½øÈëµç³¡ºóÊܵ½µç³¡Á¦×÷Óöø×ö¼õËÙÔ˶¯£¬ÓÉͼ¿ÉÒÔ¿´³ö£¬Ð¡Çò¾¹ý±ß½çMNµÄʱ¿ÌÊÇt=1sʱ£®¹ÊA´íÎó£®
B¡¢ÓÉͼÏóµÄбÂʵÈÓÚ¼ÓËٶȵÃСÇò½øÈëµç³¡Ç°µÄ¼ÓËÙ¶ÈΪa1=
mg=ma1=mv1¡¢Ù
F-mg=ma2
µÃµç³¡Á¦£ºF=mg+ma2=
ÓÉ¢Ù¢ÚµÃÖØÁ¦mgÓëµç³¡Á¦FÖ®±ÈΪ3£º5£®¹ÊBÕýÈ·£®
C¡¢Õû¸ö¹ý³ÌÖУ¬¶¯Äܱ仯Á¿ÎªÁ㣬¸ù¾Ý¶¯Äܶ¨Àí£¬Õû¸ö¹ý³ÌÖÐÖØÁ¦×öµÄ¹¦Óëµç³¡Á¦×öµÄ¹¦´óСÏàµÈ£®¹ÊCÕýÈ·£®
D¡¢Õû¸ö¹ý³ÌÖУ¬Ð¡Çò¾ßÓÐÁ½ÖÖÐÎʽµÄÄÜ£º»úеÄÜÓëµçÊÆÄÜ£¬¸ù¾ÝÄÜÁ¿Êغ㶨ÂɵÃÖª£¬ËüÃǵÄ×ܺͲ»±ä£®¹ÊD´íÎó£®
¹ÊÑ¡BC
µãÆÀ£º±¾ÌâÒ»ÒªÄÜÕýÈ··ÖÎöСÇòµÄÔ˶¯Çé¿ö£¬×¥×¡Ð±ÂʵÈÓÚ¼ÓËÙ¶ÈÊǹؼü£»¶þÒªÔËÓÃÅ£¶ÙµÚ¶þ¶¨ÂɺͶ¯Äܶ¨Àí·Ö±ðÑо¿Ð¡ÇòµÄÊÜÁ¦Çé¿öºÍÍâÁ¦×ö¹¦¹ØÏµ£®
Á·Ï°²áϵÁдð°¸
Ïà¹ØÌâÄ¿
| A¡¢Ð¡ÇòÊܵ½µÄÖØÁ¦Óëµç³¡Á¦Ö®±ÈΪ3£º5 | B¡¢ÔÚt=5sʱ£¬Ð¡Çò¾¹ý±ß½çMN | C¡¢ÔÚСÇòÏòÏÂÔ˶¯µÄÕû¸ö¹ý³ÌÖУ¬ÖØÁ¦×öµÄ¹¦´óÓڵ糡Á¦×ö¹¦ | D¡¢ÔÚ1s¡«4s¹ý³ÌÖУ¬Ð¡ÇòµÄ»úеÄÜÏȼõСºóÔö´ó |