题目内容
(1)全过程玩具的最大速度是多大?
(2)松开手后玩具还能运动多远?(取g=10m/s2,sin53°=0.8,cos53°=0.6)
【答案】分析:(1)由题意知玩具先做匀加速运动,后做匀减速运动,由速度公式可以求得最大的速度;
(2)松开手后玩具,做匀减速运动,摩擦力作为合力,产生加速度,由速度位移的关系式可以求得位移.
解答:解:(1)对物体受力分析,由牛顿第二定律得,
Fcos53°-μ(mg-Fsin53°)=ma------①
跟据运动学公式
--------②
vm=at-------③
由①②③解得,μ=0.67 vm=4.8m/s,
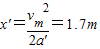
(2)松手后玩具做匀减速运动,
a'=μg=6.7m/s2
滑行距离为
.
答:(1)全过程玩具的最大速度是4.8m/s,
(2)松开手后玩具还能运动1.7m.
点评:分析清楚运动的过程,直接应用匀变速直线运动的规律求解即可,题目较简单.
(2)松开手后玩具,做匀减速运动,摩擦力作为合力,产生加速度,由速度位移的关系式可以求得位移.
解答:解:(1)对物体受力分析,由牛顿第二定律得,
Fcos53°-μ(mg-Fsin53°)=ma------①
跟据运动学公式
vm=at-------③
由①②③解得,μ=0.67 vm=4.8m/s,
(2)松手后玩具做匀减速运动,
a'=μg=6.7m/s2
滑行距离为
答:(1)全过程玩具的最大速度是4.8m/s,
(2)松开手后玩具还能运动1.7m.
点评:分析清楚运动的过程,直接应用匀变速直线运动的规律求解即可,题目较简单.
练习册系列答案
相关题目