题目内容
以v的速度水平抛出一物体,当其竖直分位移与水平分位移相等时,则此物体的( )A.竖直分速度等于水平分速度
B.瞬时速度大小为
C.运动时间为
D.运动的位移为
【答案】分析:通过竖直分位移与水平分位移大小相等,求出时间,根据时间可求出竖直方向的分速度以及速度的大小和方向.
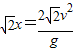
解答:解:A、竖直分位移与水平分位移大小相等,有vt=
gt2,所以运动的时间为t=
,此时竖直方向上的分速度vy=gt=2v.故A、C错误.
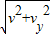
B、平抛运动瞬时速度的大小为v=
=
,故B正确;
D、此时水平方向上的位移的大小为x=vt=
,由于此时竖直分位移与水平分位移大小相等,所以此时物体运动的位移的大小为
,故D错误.
故选B
点评:解决本题的关键掌握处理平抛运动的方法,平抛运动可分解为水平方向上的匀速直线运动和竖直方向上的自由落体运动.且分运动与合运动具有等时性.
解答:解:A、竖直分位移与水平分位移大小相等,有vt=
B、平抛运动瞬时速度的大小为v=
D、此时水平方向上的位移的大小为x=vt=
故选B
点评:解决本题的关键掌握处理平抛运动的方法,平抛运动可分解为水平方向上的匀速直线运动和竖直方向上的自由落体运动.且分运动与合运动具有等时性.
练习册系列答案
相关题目