题目内容
物体沿某方向做匀加速直线运动,某时刻速度为5m/s,经2s速度变为11m/s,则物体的加速度大小为( )A.3m/s2
B.6m/s2
C.8m/s2
D.16m/s2
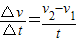
【答案】分析:根据加速度的定义a=
,代入数据求解.
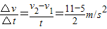
解答:解:物体沿某方向做匀加速直线运动,2s后的速度方向与初速度方向相同,则a═
=3m/s2.故A正确,B、C、D错误.
故选A.
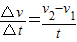
点评:解决本题的关键掌握加速度的定义式a=
,以及注意速度的方向.
解答:解:物体沿某方向做匀加速直线运动,2s后的速度方向与初速度方向相同,则a═
故选A.
点评:解决本题的关键掌握加速度的定义式a=
练习册系列答案
相关题目