题目内容
一物体从某高度以初速度v水平抛出,落地时速度大小为vt,则它运动时间为( )A.
B.
C.
D.
【答案】分析:将物体落地的速度进行分解,求出竖直方向的分速度vy,再根据竖直方向是自由落体运动,求解运动时间.
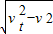
解答:解:将物体落地的速度进行分解,如图,则有
vy=
又由小球竖直方向做自由落体运动,vy=gt
得到t=
=
.
故选D
点评:本题是高考真题,考查运用运动的分解方法处理平抛运动的能力,常规题,不能失分.
解答:解:将物体落地的速度进行分解,如图,则有
vy=
又由小球竖直方向做自由落体运动,vy=gt
得到t=
故选D
点评:本题是高考真题,考查运用运动的分解方法处理平抛运动的能力,常规题,不能失分.
练习册系列答案
相关题目