题目内容
如图所示的平行板器件中,存在相互垂直的匀强磁场和匀强电场,磁场的磁感应强度B1=0.40T,方向垂直纸面向里,电场强度E=2.0×105V/m,PQ为板间中线.紧靠平行板右侧边缘xOy坐标系的第一象限内,有垂直纸面向外的匀强磁场,磁感应强度为B2的匀强磁场,磁场边界AO和y轴的夹角∠AOy=45°.一束带电量q=8.0×10-19C,质量m=8.0×10-26kg的正离子从P点射入平行板间,沿中线PQ做直线运动,穿出平行板后从y轴上坐标为(0,0.2m)的Q点垂直y轴射入磁场区.(正离子重力不计)(1)离子运动的速度为多大?
(2)要使离子都不能打到x轴上,AOy区域内磁感应强度大小B2应满足什么条件?
(3)若AOy区域内磁感应强度大小B2介于0.25T到0.5T之间,试求正离子经过x轴时的区域范围.
【答案】分析:(1)粒子做的直线运动,则受力平衡,根据受力平衡可以求得粒子的速度的大小;
(2)要使离子都不能打到x轴上,那么粒子最大的半径应该与虚线OA相切,有几何关系即可求得磁感应强度的大小;
(3)根据磁感应强度的大小可以求得粒子的运动的半径的大小,由几何关系可求出正离子经过x轴时的区域范围.
解答:解:(1)设正离子的速度为v,由于沿中线PQ做直线运动,则有qE=qvB
代入数据解得 v=5.0×105m/s
(2)如图所示,由几何关系可知使离子不能打到x轴上的最大半径
设使离子都不能打到x轴上,最小的磁感应强度大小为B,
则
代入数据解得
则 B2≥0.60T(或B2>0.60T)
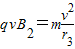
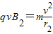
(3)当B2=0.5T,由
得r2=0.10m
由轨迹可知,则离子经过x轴上的N点,ON=r2=0.10m
当B2=0.25T,由
得r3=0.20m
由轨迹可知,离子经过x轴上的M点,
OM=
r3=0.2
m
则离子经过x轴时的区域范围为
.

点评:本题考查带电粒子在匀强磁场中的运动,要掌握住半径公式、周期公式,画出粒子的运动轨迹后,几何关系就比较明显了.
(2)要使离子都不能打到x轴上,那么粒子最大的半径应该与虚线OA相切,有几何关系即可求得磁感应强度的大小;
(3)根据磁感应强度的大小可以求得粒子的运动的半径的大小,由几何关系可求出正离子经过x轴时的区域范围.
解答:解:(1)设正离子的速度为v,由于沿中线PQ做直线运动,则有qE=qvB
代入数据解得 v=5.0×105m/s
(2)如图所示,由几何关系可知使离子不能打到x轴上的最大半径
设使离子都不能打到x轴上,最小的磁感应强度大小为B,
则
代入数据解得
则 B2≥0.60T(或B2>0.60T)
(3)当B2=0.5T,由
由轨迹可知,则离子经过x轴上的N点,ON=r2=0.10m
当B2=0.25T,由
由轨迹可知,离子经过x轴上的M点,
OM=
则离子经过x轴时的区域范围为
点评:本题考查带电粒子在匀强磁场中的运动,要掌握住半径公式、周期公式,画出粒子的运动轨迹后,几何关系就比较明显了.
练习册系列答案
相关题目