题目内容
如图,在区域Ⅰ(0≤x≤d)和区域Ⅱ(d<x≤2d)内分别存在匀强磁场,磁感应强度大小分别为B和2B,方向相反,且都垂直于Oxy平面.一质量为m、带电荷量q(q>0)的粒子a于某时刻从y轴上的P点射入区域Ⅰ,其速度方向沿x轴正向.已知a在离开区域Ⅰ时,速度方向与x轴正向的夹角为30°;此时,另一质量和电荷量均与a相同的粒子b也从P点沿x轴正向射入区域Ⅰ,其速度大小是a的1/3,不计重力和两粒子之间的相互作用力,求:(1)粒子a射入区域Ⅰ时速度的大小;
(2)当a离开区域Ⅱ时,a、b两粒子的y坐标之差.
【答案】分析:(1)根据洛伦兹力提供向心力,运用几何关系求出粒子的轨道半径,结合牛顿第二定律求出粒子a射入区域Ⅰ时速度的大小.
(2)通过洛伦兹力提供向心力,得出a粒子在区域Ⅱ中的轨道半径是区域Ⅰ中的一半,结合几何关系得出a粒子离开区域Ⅱ时,a粒子的纵坐标.根据时间关系通过几何关系求出当a离开区域Ⅱ时,b粒子的纵坐标,从而得出a、b两粒子的y坐标之差.
解答:解:(1)设粒子a在I内做匀速圆周运动的圆心为C(在y轴上),半径为Ra1,粒子速率为va,运动轨迹与两磁场区域边界的交点为P',如图
由洛仑兹力公式和牛顿第二定律得
①
由几何关系得∠PCP′=θ ②,
③,式中 θ=30°
由①②③式得
④
(2)设粒子a在II内做圆周运动的圆心为Oa,半径为Ra1,射出点为Pa(图中未画出轨迹),∠P′OaPa=θ′.
由洛仑兹力公式和牛顿第二定律得
⑤
由①⑤式得
⑥
C、P'和Oa三点共线,且由⑥式知Oa点必位于
⑦的平面上.由对称性知,Pa点与P'点纵坐标相同,
即 y1=Ra1cosθ+h⑧式中,h是C点的y坐标
设b在I中运动的轨道半径为Rb1,由洛仑兹力公式和牛顿第二定律得
⑨
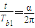
设a到达Pa点时,b位于Pb点,转过的角度为α.如果b没有飞出I,则
⑩,
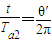
,(11)
式中,t是a在区域II中运动的时间,而
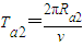
(12),
(13)
由⑤⑨⑩(11)(12)式得
α=30°(14)
由①③⑨(14)式可见,b没有飞出.Pb点的y坐标为 y2=Rb1(2+cosα)+h
由①③⑧⑨式及题给条件得,a、b两粒子的y坐标之差为
.
答:(1)粒子a射入区域Ⅰ时速度的大小
.
(2)当a离开区域Ⅱ时,a、b两粒子的y坐标之差为
.
点评:本题考查带电粒子在磁场中的运动,需掌握粒子在磁场中运动的轨道半径公式,能够正确地作出轨迹图,运用几何关系求解.
(2)通过洛伦兹力提供向心力,得出a粒子在区域Ⅱ中的轨道半径是区域Ⅰ中的一半,结合几何关系得出a粒子离开区域Ⅱ时,a粒子的纵坐标.根据时间关系通过几何关系求出当a离开区域Ⅱ时,b粒子的纵坐标,从而得出a、b两粒子的y坐标之差.
解答:解:(1)设粒子a在I内做匀速圆周运动的圆心为C(在y轴上),半径为Ra1,粒子速率为va,运动轨迹与两磁场区域边界的交点为P',如图
由洛仑兹力公式和牛顿第二定律得
由几何关系得∠PCP′=θ ②,
由①②③式得
(2)设粒子a在II内做圆周运动的圆心为Oa,半径为Ra1,射出点为Pa(图中未画出轨迹),∠P′OaPa=θ′.
由洛仑兹力公式和牛顿第二定律得
由①⑤式得
C、P'和Oa三点共线,且由⑥式知Oa点必位于
即 y1=Ra1cosθ+h⑧式中,h是C点的y坐标
设b在I中运动的轨道半径为Rb1,由洛仑兹力公式和牛顿第二定律得
设a到达Pa点时,b位于Pb点,转过的角度为α.如果b没有飞出I,则
式中,t是a在区域II中运动的时间,而
由⑤⑨⑩(11)(12)式得
α=30°(14)
由①③⑨(14)式可见,b没有飞出.Pb点的y坐标为 y2=Rb1(2+cosα)+h
由①③⑧⑨式及题给条件得,a、b两粒子的y坐标之差为
答:(1)粒子a射入区域Ⅰ时速度的大小
(2)当a离开区域Ⅱ时,a、b两粒子的y坐标之差为
点评:本题考查带电粒子在磁场中的运动,需掌握粒子在磁场中运动的轨道半径公式,能够正确地作出轨迹图,运用几何关系求解.
练习册系列答案
相关题目