题目内容
一可视为质点的小球置于光滑的水平面上,处于静止状态.质量为m.现给它一个初速V的同时施加一恒力F,方向与速度垂直,如图所示,经时间t后把恒力方向改变180°,大小不变.又经时间t,把恒力F撤去,再经时间t.(1)正确画出3t时间内小球的运动轨迹.
(2)试求出3t时间内的位移.(用题所给的物理量表示)
【答案】分析:根据合力和初速度的关系画出前时间t内的轨迹,力的方向改变后,加速度与原来大小相等,方向相反,再经过时间t后沿F方向速度为零,末速度方向与初速度方向相同,最后t时间做匀速直线运动,分别求出3t时间内初速度方向上的位移和F方向上的位移,根据矢量合成原则求解位移.
解答:
解:(1)第一个时间t,小球做类平抛运动,第二个时间t粒子做曲线运动,经时间t之后沿F方向速度为零,末速度方向与初速度v方向相同,最后时间t内小球做匀速运动.轨迹如图所示.
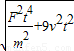
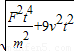
(2)3t时间内的位移为从A到D的有向线段,根据沿F方向的位移为y=
=
沿初速度方向的位移为:x=3Vt
根据几何关系得:3t时间内的位移s=
=
,方向由A指向D.
答:(1)轨迹如图所示;(2)3t时间内的位移为
,方向由A指向D.
点评:本题作第2个t时间的图象较难,有些同学不知道2t时间后的末速度方向,难度适中.
解答:
(2)3t时间内的位移为从A到D的有向线段,根据沿F方向的位移为y=
沿初速度方向的位移为:x=3Vt
根据几何关系得:3t时间内的位移s=
答:(1)轨迹如图所示;(2)3t时间内的位移为
点评:本题作第2个t时间的图象较难,有些同学不知道2t时间后的末速度方向,难度适中.
练习册系列答案
相关题目