题目内容
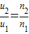
某小型水电站的电能输送示意图如下.发电机的输出电压为200V,输电线总电阻为r,升压变压器原副线圈匝数分别为n1、n2,降压变压器原副线匝数分别为n3、n4,升压变压器的输入功率和输出功率分别为P1、P2,降压变压器的输入功率和输出功率分别为P3、P4(变压器均为理想变压器).要使额定电压为220V的用电器正常工作,则下列表达式不正确的是( )A.
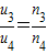
B.
C.P1=P2
D.P2>P3
【答案】分析:通过理想升压变压器将电送到用户附近,然后用理想降压变压器向远处用户供电家中.提升电压的目的是降低线路的功率损失,从而提高用户得到的功率
解答:解:由变压器的电压比与匝数之比的关系得:
,
;U1=200V,U4=220V,又因与为线路电压损失,即U2>U3,所以
故A 正确,B错误.
因是理想变压器,则其输入功率与输出功率相等,则C正确,
由于远距离输电,导致线路电阻通电发热,而使功率损失,所以升压变压器的输出电压大于降压变压器的输入电压;升压变压器的输出功率大于降压变压器的输入功率.则D正确.
因选择不正确的,故选:B
点评:理想变压器的输入功率与输出功率相等,且没有漏磁现象.远距离输电,由于导线通电发热导致能量损失,所以通过提高输送电压,从而实现降低电损.
解答:解:由变压器的电压比与匝数之比的关系得:
因是理想变压器,则其输入功率与输出功率相等,则C正确,
由于远距离输电,导致线路电阻通电发热,而使功率损失,所以升压变压器的输出电压大于降压变压器的输入电压;升压变压器的输出功率大于降压变压器的输入功率.则D正确.
因选择不正确的,故选:B
点评:理想变压器的输入功率与输出功率相等,且没有漏磁现象.远距离输电,由于导线通电发热导致能量损失,所以通过提高输送电压,从而实现降低电损.
练习册系列答案
相关题目
如图所示为某小型水电站的电能输送示意图,A为升压变压器,其输入功率为P1输出功率为P2,输出电压为U2;B为降压变压器,其输人功率为P3,输入电压为U3.A、B均为理想变压器,输电电流为I,输电线的总电阻为r,则下列关系正确的是( )

| A、U2=U3 | B、U2=U3+Ir | C、P1>P2 | D、P2=P1 |