ÌâÄ¿ÄÚÈÝ
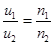
ÈçͼËùʾ£¬ÀíÏë±äѹÆ÷Ô¡¢¸±ÏßȦµÄÔÑÊý±ÈΪ10 : 1,bÊÇÔÏßȦµÄÖÐÐĽÓÍ·£¬µçѹ±íVºÍµçÁ÷±íA¾ùΪÀíÏëµç±í£¬³ý»¬¶¯±ä×èÆ÷µç×èRÒÔÍâÆäÓàµç×è¾ù²»¼Æ£¬´Óijʱ¿Ì¿ªÊ¼ÔÚÔÏßȦc¡¢dÁ½¶Ë¼ÓÉϽ»±äµçѹ£¬Æä˲ʱֵ±í´ïʽΪ
(V)£®ÏÂÁÐ˵·¨ÖÐÕýÈ·µÄÊÇ
![]()
A£®
ʱ£¬µãc¡¢d¼äµÄµçѹ˲ʱֵΪ110V
B£®µ±µ¥µ¶Ë«ÖÀ¿ª¹ØÓëaÁ¬½Óʱ£¬µçѹ±íµÄʾÊýΪ22 V
C£®µ¥µ¶Ë«ÖÀ¿ª¹ØÓëaÁ¬½Ó£¬»¬¶¯±ä×èÆ÷´¥Í·PÏòÉÏÒÆ¶¯µÄ¹ý³ÌÖУ¬µçѹ±íºÍµçÁ÷±íµÄʾÊý¾ù±äС
D£®µ±µ¥µ¶Ë«ÖÀ¿ª¹ØÓÉa°âÏòbʱ£¬µçѹ±íºÍµçÁ÷±íµÄʾÊý¾ù±äС
B
¡¾½âÎö¡¿
ÊÔÌâ·ÖÎö£º¸ù¾ÝÔÏßȦµçѹ˲ʱֵ
¿ÉÅжÏ
£¬µãc¡¢d¼äµÄµçѹ˲ʱֵΪ
,Ñ¡ÏîA´í¡£µçѹ±í²âÁ¿¸±ÏßȦµçѹ£¬Ê¾ÊýΪÓÐЧֵ£¬¸ù¾Ý
¿ÉµÃ£¬µçѹ±íʾÊýΪ
Ñ¡ÏîB¶Ô¡£µ¥µ¶Ë«ÖÀ¿ª¹ØÓëaÁ¬½Ó£¬»¬¶¯±ä×èÆ÷´¥Í·PÏòÉÏÒÆ¶¯µÄ¹ý³ÌÖУ¬ÔÏßȦµçѹ²»±ä£¬Ô¸±ÏßȦÔÑÊý±È²»±ä£¬ËùÒÔ¸±ÏßȦµçѹ
²»±ä£¬µçѹ±íʾÊý²»±ä£¬»¬Æ¬PÏòÉÏ»¬¶¯£¬»¬¶¯±ä×èÆ÷±ä´ó£¬¸±ÏßȦµçÁ÷±äС£¬µçÁ÷±íʾÊý±äС£¬Ñ¡ÏîC´í¡£µ±µ¥µ¶Ë«ÖÀ¿ª¹ØÓÉa°âÏòbʱ£¬ÔÏßȦÔÑÊý¼õÉÙ£¬¸ù¾Ý
£¬
¼õС£¬¸±ÏßȦµçѹ
Ôö´ó¼´µçѹ±íʾÊý±ä´ó£¬¸±ÏßȦµç×è²»±ä£¬ËùÒÔµçÁ÷±íʾÊýÒ²±ä´ó£¬Ñ¡ÏîD´í¡£
¿¼µã£ºÀíÏë±äѹÆ÷
| 2 |
| A¡¢µçÁ÷ƵÂÊΪ50HZ |
| B¡¢·üÌØ±íµÄ¶ÁÊýΪ24V |
| C¡¢°²Åà±íµÄ¶ÁÊýΪ0.5A |
| D¡¢±äѹÆ÷ÊäÈ빦ÂÊΪ6W |
| A¡¢¸±ÏßȦµÄÁ½¶ËM¡¢NµÄÊä³öµçѹ²»±ä | B¡¢¸±ÏßȦÊäµçÏßµÈЧµç×èRÉϵĵçѹÔö´ó | C¡¢Í¨¹ýµÆÅÝL1µÄµçÁ÷Ôö´ó | D¡¢ÔÏßȦÖеĵçÁ÷Ôö´ó |