ÌâÄ¿ÄÚÈÝ
ÈçͼËùʾµ¼Ïß¿òabcd¹Ì¶¨ÔÚÊúÖ±Æ½ÃæÄÚ£¬bc¶ÎµÄµç×èΪR£¬ÆäËü²¿·ÖµÄµç×è¿ÉÒÔºöÂÔ£®ab¡¢cd×ã¹»³¤£¬efÊÇÒ»¸öˮƽµ¼Ìå¸Ë£¬¸Ë³¤ÎªL£¬ÖÊÁ¿Îªm£¬µç×è¿ÉÒÔºöÂÔ£®¸ËÓëab¡¢cd±£³ÖÁ¼ºÃ½Ó´¥£¬ÓÖÄÜÎÞĦ²ÁµØ»¬¶¯£®Õû¸ö×°Ö÷ÅÔÚÔÈÇ¿´Å³¡ÖУ¬´Å³¡·½ÏòÓë¿òÃæ´¹Ö±£¬´Å¸ÐÇ¿¶ÈΪB£¬ÏÖÔÚ°ÑefÎÞ³õËÙÊÍ·Å£¬¾¹ýʱ¼ätºó±ÕºÏ¿ª¹ØK£®£¨1£©Èç¹û×îÖÕefÄÜÔÈËÙÏÂÂ䣬ËÙ¶ÈÊǶà´ó£¿
£¨2£©ÌÖÂÛtÈ¡²»Í¬ÖµÊ±£¬¿ª¹Ø±ÕºÏºóef¿ÉÄÜ×÷ʲôÔ˶¯£¿
¡¾´ð°¸¡¿·ÖÎö£º£¨1£©efÔÈËÙÏÂÂäʱ£¬ÊÜÖØÁ¦ºÍ°²ÅàÁ¦Æ½ºâ£¬¸ù¾Ýƽºâ£¬½áºÏ°²ÅàÁ¦¹«Ê½ºÍ±ÕºÏµç·ŷķ¶¨ÂÉ¡¢Çиî²úÉúµÄ¸ÐÓ¦µç¶¯Êƹ«Ê½Çó³öËٶȵĴóС£®
£¨2£©ÔÚ¿ª¹Ø±ÕºÏǰ£¬°ô×Ó×ö×ÔÓÉÂäÌåÔ˶¯£¬Í¨¹ý·ÖÎöÖØÁ¦ºÍ°²ÅàÁ¦µÄ´óС¹ØÏµÅжÏefµÄÔ˶¯¹æÂÉ£®
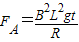
½â´ð£º½â£º£¨1£©×îÖÕÔÈËÙÏÂÂäʱ£¬
ÓÉFA=mg£¬FA=BIL£¬I=
µÃ
£¨2£©ÔÚ¿ª¹Ø±ÕºÏǰ£¬efÖ»ÊÜÖØÁ¦×÷×ÔÓÉÂäÌåÔ˶¯£¬¾¹ýʱ¼ät£¬ËÙ¶ÈΪ v=gt
´ËʱefÖиÐÓ¦µç¶¯ÊƦÅ=BLv
Èô¿ª¹Ø±ÕºÏ£¬µç·ÖдËʱµçÁ÷
efÊܰ²ÅàÁ¦FA=BIL
ÓÉÕâËĸöʽ×ÓµÃ
´ËʱfeÊÜÁ¦ÈçÓÒͼ
ÈôFA£¼mg£¬¼´
ef×ö¼ÓËٶȼõСµÄ¼ÓËÙÏÂÂ䣬×îÖÕ×öÔÈËÙÔ˶¯£®
ÈôFA£¾mg£¬¼´
£¬
ef×ö¼ÓËٶȼõСµÄ¼õËÙÏÂÂ䣬×îÖÕ×öÔÈËÙÔ˶¯£®
ÈôFA=mg£¬¼´
£¬ef½«ÔÈËÙÏÂÂä
´ð£º£¨1£©×îÖÕefÄÜÔÈËÙÏÂÂ䣬ËÙ¶ÈÊÇ
£®
£¨2£©
£¬ef×ö¼ÓËٶȼõСµÄ¼ÓËÙÏÂÂ䣬×îÖÕ×öÔÈËÙÔ˶¯£®
£¬ef×ö¼ÓËٶȼõСµÄ¼õËÙÏÂÂ䣬×îÖÕ×öÔÈËÙÔ˶¯£®
£¬ef½«ÔÈËÙÏÂÂ䣮
µãÆÀ£º±¾Ì⿼²é·ÖÎöµ¼Ìå°ôÔ˶¯Çé¿öµÄÄÜÁ¦£¬¶ø·ÖÎöÔ˶¯Çé¿ö£¬±ØÐë·ÖÎöÆäÊÜÁ¦Çé¿ö£¬¹Ø¼üץס°²ÅàÁ¦ÓëÖØÁ¦µÄ´óС¹ØÏµ£®
£¨2£©ÔÚ¿ª¹Ø±ÕºÏǰ£¬°ô×Ó×ö×ÔÓÉÂäÌåÔ˶¯£¬Í¨¹ý·ÖÎöÖØÁ¦ºÍ°²ÅàÁ¦µÄ´óС¹ØÏµÅжÏefµÄÔ˶¯¹æÂÉ£®
½â´ð£º½â£º£¨1£©×îÖÕÔÈËÙÏÂÂäʱ£¬
ÓÉFA=mg£¬FA=BIL£¬I=
µÃ
£¨2£©ÔÚ¿ª¹Ø±ÕºÏǰ£¬efÖ»ÊÜÖØÁ¦×÷×ÔÓÉÂäÌåÔ˶¯£¬¾¹ýʱ¼ät£¬ËÙ¶ÈΪ v=gt
´ËʱefÖиÐÓ¦µç¶¯ÊƦÅ=BLv
Èô¿ª¹Ø±ÕºÏ£¬µç·ÖдËʱµçÁ÷
ÓÉÕâËĸöʽ×ÓµÃ
´ËʱfeÊÜÁ¦ÈçÓÒͼ
ÈôFA£¼mg£¬¼´
ef×ö¼ÓËٶȼõСµÄ¼ÓËÙÏÂÂ䣬×îÖÕ×öÔÈËÙÔ˶¯£®
ÈôFA£¾mg£¬¼´
ef×ö¼ÓËٶȼõСµÄ¼õËÙÏÂÂ䣬×îÖÕ×öÔÈËÙÔ˶¯£®
ÈôFA=mg£¬¼´
´ð£º£¨1£©×îÖÕefÄÜÔÈËÙÏÂÂ䣬ËÙ¶ÈÊÇ
£¨2£©
µãÆÀ£º±¾Ì⿼²é·ÖÎöµ¼Ìå°ôÔ˶¯Çé¿öµÄÄÜÁ¦£¬¶ø·ÖÎöÔ˶¯Çé¿ö£¬±ØÐë·ÖÎöÆäÊÜÁ¦Çé¿ö£¬¹Ø¼üץס°²ÅàÁ¦ÓëÖØÁ¦µÄ´óС¹ØÏµ£®
Á·Ï°²áϵÁдð°¸
Ïà¹ØÌâÄ¿