题目内容
光滑绝缘水平面上有一个带点质点正在以速度
向右运动。如果加一个竖直向下的匀强磁场,经过一段时间后,该质点的速度第一次变为与初始时刻的速度大小相等、方向相反;如果不加匀强磁场而改为加一个沿水平方向的匀强电场,经过相同的一段时间后,该质点的速度也第一次变为与初始时刻的速度大小相等、方向相反,则所加的匀强磁场的磁感应强度
和所加的匀强电场的电场强度
的比值
为
![]()
A.
B.![]()
C.
D.![]()
【答案】
A
【解析】
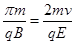
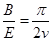
试题分析: 带电质点在磁场中做匀速圆周运动,满足:
,
,质点的速度第一次变为与初始时刻的速度大小相等、方向相反,即运动半个周期:
,可得
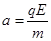
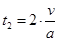
;质点在电场中做先向右的减速再反向加速的直线运动:
,由运动的对称性可知
,两次运动时间相等
联立解得
,可得
,故选A。
考点:本题考查了带电粒子在磁场和电场中的运动规律、匀速圆周运动规律、匀变速直线运动规律。
练习册系列答案
相关题目
| A、电场的方向与AC间的夹角为30° | ||
| B、电场的方向与AC间的夹角为60° | ||
C、小球在A点垂直电场方向发射,恰能落到C点,则初动能为
| ||
D、小球在A点垂直电场方向发射,恰能落到C点,则初动能为
|