题目内容
一列简谐横波某时刻的波形如图甲所示,从该时刻开始计时,图中质点A的振动图象如图乙所示.则( )A.这列波的波速是25cm/s
B.这列波沿x轴正方向传播
C.质点A在任意的1s内所通过的路程都是0.4m
D.若此波遇到另一列波并发生稳定干涉现象,则另一列波的频率为1.25Hz
【答案】分析:由波动图象读出波长,由振动图象读出周期,由波速公式求出波速.根据两图象之间的关系判断波的传播方向.对照产生干涉的条件,判断能否产生干涉.
解答:解:A、由两图象分别读出λ=20m,T=0.8s,则v=
=25 m/s,故A错误
B、波的图象是描绘的时刻不知道,无法从振动图象判断A质点的振动方向,从而无法判断波的传播方向.故B错误.
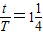
C、
,由于A不是特殊点,又不知道坐标,A点1s内路程无法求出.故C错误.
D、两列波发生稳定干涉的条件是频率相同,则另一波频率是f=
=1.25Hz时能发生干涉.故D正确.
故选D
点评:本题首先考查识别、判断波动图象与振动图象的能力,同时考查对两种图象关系理解的能力.读图时,单位与数值一起读,不能犯低级错误.
解答:解:A、由两图象分别读出λ=20m,T=0.8s,则v=
B、波的图象是描绘的时刻不知道,无法从振动图象判断A质点的振动方向,从而无法判断波的传播方向.故B错误.
C、
D、两列波发生稳定干涉的条件是频率相同,则另一波频率是f=
故选D
点评:本题首先考查识别、判断波动图象与振动图象的能力,同时考查对两种图象关系理解的能力.读图时,单位与数值一起读,不能犯低级错误.
练习册系列答案
相关题目