题目内容

如图甲所示,理想变压器原、副线圈的匝数比为10∶1,R1=20 Ω,R2=30 Ω,C为电容器,已知通过R1的正弦式电流如图乙所示,则 (  )

A.交变电流的频率为0.02 Hz

B.原线圈输入电压的最大值为200 V

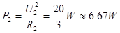
C.电阻R2的电功率约为6.67 W

D.通过R3的电流始终为零

 

【答案】

 C

【解析】

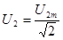
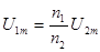
试题分析:由图乙可知交流电的周期为0.02s,频率为50HZ,A选项错误;变压器次级电压最大值为=20V,所以初级电压最大值为 =200V,B选项错误;次级电压有效值为 =10V,所以电阻R2的电功率为,选项C正确;因为次级电压的瞬时值不断再改变,所以电容器不断的充电和放电,所以在电阻R3上始终有电流。选项D错误。

考点:变压器中电压和匝数的关系、交流电的周期和频率、交流电的有效值和最大值、电容器的特性。

 

练习册系列答案
相关题目

违法和不良信息举报电话:027-86699610 举报邮箱:58377363@163.com

精英家教网