题目内容
设太阳质量为M,某行星绕太阳公转周期为T,轨道可视作半径为r的圆.已知万有引力常量为G,则描述该行星运动的上述物理量满足( )A.
B.
C.
D.
【答案】分析:行星绕太阳公转时,万有引力提供行星圆周运动的向心力,列式分析即可.
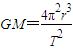
解答:解:太阳对行星的万有引力提供行星圆周运动的向心力即
由此可得:

故选A.
点评:据万有引力提供向心力,列出等式只能求出中心体的质量.
解答:解:太阳对行星的万有引力提供行星圆周运动的向心力即
故选A.
点评:据万有引力提供向心力,列出等式只能求出中心体的质量.
练习册系列答案
相关题目