题目内容
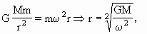
地球质量为M、半径为R,自转角速度为ω,万有引力常量为G,地球表面重力加速度为g,同步卫星与地心距离为h,则同步卫星线速度大小等于
[ ]
A.
B.
C.
D.
答案:ABCD
解析:
解析:
|
ABCD v= 所以 v= |
练习册系列答案
相关题目
题目内容
地球质量为M、半径为R,自转角速度为ω,万有引力常量为G,地球表面重力加速度为g,同步卫星与地心距离为h,则同步卫星线速度大小等于
[ ]
|
ABCD v= 所以 v= |